中国组织工程研究 ›› 2026, Vol. 30 ›› Issue (16): 4088-4104.doi: 10.12307/2026.706

• 组织构建实验造模 experimental modeling in tissue construction • 上一篇    下一篇

紫堇灵治疗急性髓系白血病:潜在机制的网络药理学分析和实验验证

周  武1,2,张静馨2,刘远程2,胡承龙2,王斯奇2,许建霞2,黄  海1,2,韦四喜1,2   

  1. 1贵州医科大学附属医院临床检验中心,贵州省贵阳市  550004;2贵州医科大学医学检验学院,贵州省贵阳市  550004
  • 收稿日期:2025-06-27 接受日期:2025-09-08 出版日期:2026-06-08 发布日期:2025-11-26
  • 通讯作者: 韦四喜,博士,主任技师,博士生导师,贵州医科大学医学检验学院,贵州省贵阳市 550004;贵州医科大学附属医院临床检验中心,贵州省贵阳市 550004
  • 作者简介:周武,男,1996年生,贵州省铜仁市人,贵州医科大学临床检验诊断学在读硕士,主要从事血液肿瘤相关基础与临床研究。
  • 基金资助:
    贵州医科大学慢性疾病标志物研究重点实验室项目(校重点实验室[2024]fy004号),项目负责人:韦四喜

Treatment of acute myeloid leukemia with corynoline: network pharmacology analysis of potential mechanisms and experimental validation

Zhou Wu1, 2, Zhang Jingxin2, Liu Yuancheng2, Hu Chenglong2, Wang Siqi2, Xu Jianxia2, Huang Hai1, 2, Wei Sixi1, 2   

  1. 1Clinical Laboratory Center, Affiliated Hospital of Guizhou Medical University, Guiyang 550004, Guizhou Province, China; 2School of Medical Laboratory Science, Guizhou Medical University, Guiyang 550004, Guizhou Province, China
  • Received:2025-06-27 Accepted:2025-09-08 Online:2026-06-08 Published:2025-11-26
  • Contact: Wei Sixi, PhD., Chief physician, Doctoral supervisor, Clinical Laboratory Center, Affiliated Hospital of Guizhou Medical University, Guiyang 550004, Guizhou Province, China; School of Medical Laboratory Science, Guizhou Medical University, Guiyang 550004, Guizhou Province, China
  • About author:Zhou Wu, MS candidate, Clinical Laboratory Center, Affiliated Hospital of Guizhou Medical University, Guiyang 550004, Guizhou Province, China; School of Medical Laboratory Science, Guizhou Medical University, Guiyang 550004, Guizhou Province, China
  • Supported by:
    Key Laboratory Project for Chronic Disease Biomarkers Research at Guizhou Medical University, No. [2024] fy004 (to WSX)

摘要:

文题释义:
急性髓系白血病:一种起源于骨髓造血干细胞或祖细胞的恶性克隆性疾病,临床表现为骨髓及外周血中原始和幼稚髓系细胞异常增生,常伴随造血功能抑制和多器官浸润,具有高度的异质性和侵袭性。
网络药理学:一种基于系统生物学和多靶点策略的研究方法,主要通过构建“药物-靶点-疾病”网络,系统解析中药或天然产物的作用机制,揭示其“多成分–多靶点–多通路”的药效特征。

背景:研究提示紫堇灵具有抗食管鳞状细胞癌、三阴性乳腺癌等肿瘤药理活性;然而,在治疗急性髓系白血病中的药理作用及其分子机制尚未被系统研究。
目的:探讨紫堇灵对急性髓系白血病的治疗作用及潜在分子机制。
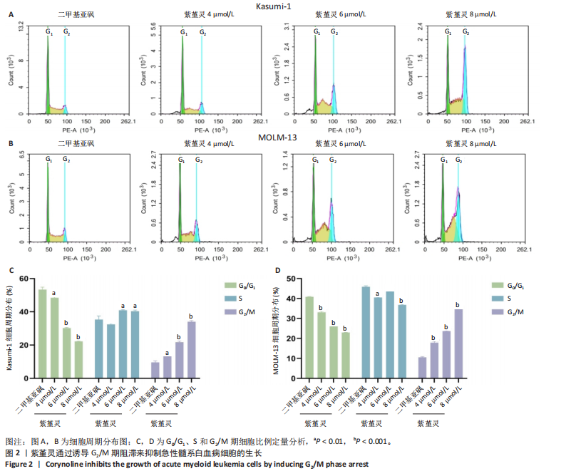
方法:体外培养人急性髓系白血病细胞株Kasumi-1与MOLM-13,分别加入不同浓度(4,6,8 μmol/L)紫堇灵处理,同时以二甲基亚砜作为对照,培养24,48,72 h,使用CCK-8法检测细胞活力,流式细胞术评估紫堇灵的药理活性。利用网络药理学预测紫堇灵抗急性髓系白血病的靶点基因;通过GO与KEGG分析揭示其潜在机制;构建蛋白质相互作用网络并结合临床相关性分析筛选核心靶点;使用分子对接与分子动力学模拟评估其与核心靶点的结合能力;qRT-PCR与Western blot验证其分子机制。
结果与结论:①紫堇灵可抑制急性髓系白血病细胞增殖,诱导其凋亡,并引发G2/M期细胞周期阻滞。②网络药理学筛选出紫堇灵与急性髓系白血病相关的交集靶点基因102个。③GO和KEGG分析表明,紫堇灵通过调节蛋白磷酸化、诱导细胞凋亡及靶向磷脂酰肌醇3-激酶/蛋白激酶B信号通路等机制治疗急性髓系白血病。④蛋白质相互作用网络与临床相关性分析筛选出视黄酸受体β、过氧化物合酶2、鼠双微体基因2和丝裂原激活蛋白激酶14为核心靶点,分子对接与分子动力学模拟显示紫堇灵与这些核心靶点具有强相互作用。⑤qRT-PCR和Western blot结果显示,紫堇灵通过抑制磷脂酰肌醇3-激酶/蛋白激酶B通路激活及促进鼠双微体基因2蛋白降解激活p53转录功能来发挥抗急性髓系白血病作用。⑥此项研究揭示了紫堇灵在体外抗急性髓系白血病中的药理学作用及潜在机制,为天然化合物在急性髓系白血病中的应用提供更多理论依据。 
https://orcid.org/0009-0001-6817-5371(周武)

中国组织工程研究杂志出版内容重点:干细胞;骨髓干细胞;造血干细胞;脂肪干细胞;肿瘤干细胞;胚胎干细胞;脐带脐血干细胞;干细胞诱导;干细胞分化;组织工程

关键词: 紫堇灵, 急性髓系白血病, 网络药理学, PI3K/AKT通路, p53信号, 分子对接, 分子动力学模拟, 细胞凋亡, 细胞周期阻滞

Abstract: BACKGROUND: Corynoline has been shown to possess pharmacological activity against tumors such as esophageal squamous cell carcinoma and triple-negative breast cancer. However, its pharmacological effects and molecular mechanisms in treating acute myeloid leukemia remain poorly understood.
OBJECTIVE: To investigate the therapeutic effects of corynoline on acute myeloid leukemia and its underlying molecular mechanisms.
METHODS: Human acute myeloid leukemia cell lines Kasumi-1 and MOLM-13 were cultured in vitro and treated with varying concentrations of corynoline (4, 6, and 8 μmol/L), with dimethyl sulfoxide used as a control. The cell viability was detected using CCK-8 assay for 24, 48, and 72 hours, and the pharmacological activity of corynoline was assessed by flow cytometry. The target genes for corynoline treatment of acute myeloid leukemia were predicted using network pharmacology. Potential mechanisms were analyzed through GO and KEGG analysis. A protein interaction network was constructed, and core targets were identified using clinical correlation analysis. The binding affinity to these core targets was assessed through molecular docking and molecular dynamics simulations. Finally, the molecular mechanisms by which corynoline treats acute myeloid leukemia were evaluated using quantitative reverse transcription-polymerase chain reaction and Western blot assays.
RESULTS AND CONCLUSION: (1) Corynoline inhibited the proliferation of acute myeloid leukemia cells, induced apoptosis, and caused G2/M cell cycle arrest. (2) Network pharmacology identified 102 intersecting target genes associated with corynoline and acute myeloid leukemia. (3) GO and KEGG analyses revealed that corynoline treated acute myeloid leukemia by regulating protein phosphorylation, inducing apoptosis, and targeting the phosphoinositide 3-kinase/protein kinase B signaling pathway. (4) The protein-protein interaction network and clinical correlation analysis identified retinoic acid receptor beta, prostaglandin-endoperoxide synthase 2, mouse double minute 2, and mitogen-activated protein kinase 14 as core targets. Molecular docking and dynamics simulations demonstrated strong interactions between corynoline and these targets. (5) Results from quantitative reverse transcription-polymerase chain reaction and Western blot assays indicated that corynoline exerted effects against acute myeloid leukemia by inhibiting the activation of phosphoinositide 3-kinase/protein kinase B signaling pathway and promoting the degradation of mouse double minute 2, which in turn activates p53 transcriptional function. (6) This study elucidates the in vitro pharmacological role of corynoline in acute myeloid leukemia treatment and the underlying mechanism, providing additional theoretical foundations for the application of natural compounds in the treatment of acute myeloid leukemia.


Key words: corynoline, acute myeloid leukemia, network pharmacology, phosphoinositide 3-kinase/protein kinase B pathway, p53 signaling, molecular docking, molecular dynamics simulation, apoptosis, cell cycle arrest

中图分类号: