中国组织工程研究 ›› 2026, Vol. 30 ›› Issue (15): 3810-3819.doi: 10.12307/2026.151

• 骨与关节有限元分析Finite element analysis of bones and joints • 上一篇    下一篇

基于影像学腰椎退变的生物力学有限元分析

高  升1,辛世民2,刘兴权1,亢利清3,任宝林1,王海燕4   

  1. 1呼和浩特市中医蒙医医院医学影像科,内蒙古自治区呼和浩特市   010000;2七台河职业学院医疗卫生系,黑龙江省七台河市   154600;3内蒙古自治区第四医院消毒供应中心,内蒙古自治区呼和浩特市   010000;4内蒙古医科大学基础医学院解剖教研室,内蒙古自治区呼和浩特市   010110
  • 接受日期:2025-03-24 出版日期:2026-05-28 发布日期:2025-11-05
  • 通讯作者: 王海燕,硕士,教授,硕士生导师,内蒙古医科大学基础医学院解剖教研室,内蒙古自治区呼和浩特市 010110
  • 作者简介:Gao Sheng, MS, Department of Medical Imaging, Hohhot Hospital of Traditional Chinese and Mongolian Medicine, Hohhot 010000, Inner Mongolia Autonomous Region, China Xin Shimin, Department of Health and Medical Sciences, Qitaihe Vocational College, Qitaihe 154600, Heilongjiang Province, China Gao Sheng and Xin Shimin contributed equally to this article.
  • 基金资助:
    内蒙古自治区高等学校创新团队发展计划(NMGIRT2419),项目负责人:王海燕;2022年度内蒙古自治区卫生健康科技计划(202201188),项目负责人:王海燕

Biomechanical finite element analysis of lumbar degeneration based on radiological imaging

Gao Sheng1, Xin Shimin2, Liu Xingquan1, Kang Liqing3, Ren Baolin1, Wang Haiyan4   

  1. ¹Department of Medical Imaging, Hohhot Hospital of Traditional Chinese and Mongolian Medicine, Hohhot 010000, Inner Mongolia Autonomous Region, China; ²Department of Health and Medical Sciences, Qitaihe Vocational College, Qitaihe 154600, Heilongjiang Province, China; 3Sterilization Supply Center, the Fourth Hospital of Inner Mongolia Autonomous Region, Hohhot 010000, Inner Mongolia Autonomous Region, China; 4Department of Anatomy, School of Basic Medical Sciences, Inner Mongolia Medical University, Hohhot 010110, Inner Mongolia Autonomous Region, China
  • Accepted:2025-03-24 Online:2026-05-28 Published:2025-11-05
  • Contact: Wang Haiyan, MS, Professor, Master’s supervisor, Department of Anatomy, School of Basic Medical Sciences, Inner Mongolia Medical University, Hohhot 010110, Inner Mongolia Autonomous Region, China
  • About author:高升,男,1975年生,内蒙古自治区呼和浩特市人,汉族,硕士,主要从事医学影像的研究。 并列第一作者:辛世民,男,1994年生,黑龙江省鸡西市人,汉族,主要从事肌骨康复的研究。
  • Supported by:
    Inner Mongolia Autonomous Region Higher Education Innovation Team Development Plan, No. NMGIRT2419 (to WHY); 2022 Inner Mongolia Autonomous Region Health Science and Technology Plan, No. 202201188 (to WHY) 

摘要:

文题释义

腰椎退变:指腰椎结构和功能的退行性改变,通常伴随椎间盘退变、椎体骨赘形成和小关节退变等病理变化。这些退变会导致脊柱的生物力学特性发生显著变化,影响其承载能力和运动范围。研究发现,腰椎退变会降低脊柱的柔韧性,并相应地增加脊柱的刚度,这是椎间盘退变导致椎间的几何形状和材料性质发生变化的必然结果。这些生物力学变化可能导致下腰痛和脊柱不稳等临床症状。
有限元分析:为一种数值计算方法,用于求解复杂结构的力学行为。在此次研究中,有限元分析用于模拟和分析退变腰椎在不同运动模式下的生物力学响应。通过在Abaqus软件中定义材料属性、设置边界条件和加载条件,研究者能够评估椎体骨赘对腰椎整体活动度、各节段活动度、椎骨应力分布、纤维环应力分布、髓核应力分布和小关节应力分布的影响。这种定量分析为理解腰椎退变的生物力学机制提供了科学依据。

摘要
背景:腰椎退化会引起腰痛,了解导致腰椎退变引起疼痛的潜在力学机制是至关重要的。
目的:分析正常与退变腰椎在力学性能上的区别,为进一步探寻腰椎退变机制及其相关疗法提供依据。
方法:基于健康、腰椎退变男性受试者的腰椎CT图像进行三维重建,建立L1-S1有限元模型。对正常与退变腰椎的生物力学特性进行有限元分析,通过加载生理条件,重点分析前屈、后伸、左右侧屈、左右旋转6个运动范围的差异,评估具有椎体前缘骨赘的有限元模型在不同运动模式下的腰椎整体、各节段活动范围及椎骨、纤维环、髓核、小关节应力分布。
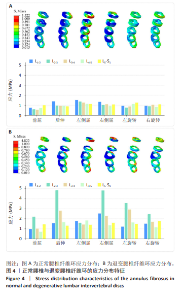
结果与结论:①退化腰椎整体活动范围和节段活动范围均出现了不同程度的下降,特别是在后伸和侧屈运动中,退化的腰椎表现出显著的活动受限;②腰椎的退化改变了力学的环境,邻近节段的椎骨、椎间盘与小关节应力均增大;③腰椎退变导致活动度下降,特别影响后伸和侧屈运动;④L4节段在退变后承受了更高的应力,可能是下腰痛的关键因素;⑤退变腰椎的力学负荷重分配对邻近节段影响显著。



中国组织工程研究杂志出版内容重点:人工关节;骨植入物;脊柱;骨折;内固定;数字化骨科;组织工程

关键词: ">腰椎退变, 骨赘, 有限元分析, 应力分布, 力学响应

Abstract: BACKGROUND: Lumbar degeneration can cause lower back pain. Understanding the underlying mechanical mechanisms of pain caused by lumbar degeneration is crucial.
OBJECTIVE: To analyze the biomechanical differences between normal and degenerated lumbar vertebrae, providing a basis for further exploring the lumbar degeneration mechanisms and their implications.
METHODS: Three-dimensional reconstruction was performed based on lumbar CT images of healthy and lumbar degenerative male subjects, and a L1-S1 finite element model was established. Finite element analysis was performed on the biomechanical properties of normal and degenerated lumbar spines. By loading physiological conditions, the differences in the six ranges of motion of flexion, extension, left and right lateral flexion, and left and right rotation were analyzed in particular. The finite element model with osteophytes on the anterior edge of the vertebral body was evaluated in different motion modes for the lumbar spine as a whole, the range of motion of each segment, and the stress distribution of the vertebrae, annulus fibrosus, nucleus pulposus, and facet joints.
RESULTS AND CONCLUSION: (1) The degenerated lumbar spine exhibited a decrease in overall and segmental range of motion to varying degrees, with significant movement limitations particularly noted in extension and lateral bending. (2) Degeneration altered the mechanical environment, resulting in increased stress on the vertebrae, intervertebral discs, and facet joints of adjacent segments. (3) Lumbar degeneration leads to reduced range of motion, especially affecting extension and lateral bending. (4) The L4 segment experiences higher stress post-degeneration, which may be a critical factor in lower back pain. (5) The redistribution of mechanical load in the degenerated lumbar spine significantly impacts adjacent segments. 

Key words: "> , lumbar degeneration, osteophytes, finite element analysis, stress distribution, mechanical response

中图分类号: