中国组织工程研究 ›› 2026, Vol. 30 ›› Issue (34): 8889-8898.doi: 10.12307/2026.894

• 软骨组织构建 cartilage tissue construction • 上一篇    下一篇

WGCNA及机器学习识别骨关节炎软骨细胞自噬和衰老特征基因

杨化群1,阿布都艾尼江·阿不力米提1,王法正1,买买提沙吾提阿吉·麦麦提2,李斯密1,穆合塔尔·麦麦提热夏提1   

  1. 喀什地区第一人民医院,1运动医学科,2脊柱骨科,新疆维吾尔自治区喀什市  844000
  • 收稿日期:2025-09-17 修回日期:2026-02-13 出版日期:2026-12-08 发布日期:2026-04-13
  • 通讯作者: 穆合塔尔·麦麦提热夏提,副主任医师,喀什地区第一人民医院运动医学科,新疆维吾尔自治区喀什市 844000
  • 作者简介:杨化群,男,1982年生,汉族,山东省临沂市人,副主任医师,主要从事运动损伤相关疾病研究。 共同第一作者:阿布都艾尼江·阿不力米提,男,1992年生,新疆维吾尔自治区喀什市人,维吾尔族,硕士,主治医师,主要从事关节及运动损伤疾病相关研究。
  • 基金资助:
    新疆少数民族科技人才特殊培养计划项目(2022D03040),项目负责人:杨化群;喀什地区第一人民医院“珠江学者·
    天山英才”合作专家工作室创新团队计划项目(KDYY202111),项目负责人:王法正

Weighted gene co-expression network analysis combined with machine learning identifies autophagy and senescence signature genes in osteoarthritis chondrocytes

Yang Huaqun1, Abudouainijiang·Abulimiti1, Wang Fazheng1, Maimaitishawutiaji·Maimaiti2, Li Simi1, Muhetaer·Maimaitirexiati1    

  1. 1Department of Sports Medicine, 2Department of Spinal Orthopedics, The First People’s Hospital of Kashgar Region, Kashgar 844000, Xinjiang Uygur Autonomous Region, China 

  • Received:2025-09-17 Revised:2026-02-13 Online:2026-12-08 Published:2026-04-13
  • Contact: Muhetaer·Maimaitirexiati, Associate chief physician, Department of Sports Medicine, The First People’s Hospital of Kashgar Region, Kashgar 844000, Xinjiang Uygur Autonomous Region, China
  • About author:Yang Huaqun, Associate chief physician, Department of Sports Medicine, The First People’s Hospital of Kashgar Region, Kashgar 844000, Xinjiang Uygur Autonomous Region, China Abudouainijiang·Abulimiti, MS, Attending physician, Department of Sports Medicine, The First People’s Hospital of Kashgar Region, Kashgar 844000, Xinjiang Uygur Autonomous Region, China Yang Huaqun and Abudouainijiang·Abulimiti contributed equally to this work.
  • Supported by:
    Xinjiang Special Training Program for Minority Scientific and Technological Talents, No. 2022D03040 (to YHQ); “Pearl River Scholar·Tianshan Talent” Cooperative Expert Studio Innovation Team Program of the First People’s Hospital of Kashgar Region, No. KDYY202111 (to WFZ) 

摘要:


文题释义:
骨关节炎:是由于关节软骨完整性破坏以及关节边缘软骨下骨板病变导致关节症状和体征的一组异质性疾病,确切病因尚不完全明确,其病程缓慢而渐进,最终导致关节功能丧失和患者生活质量显著下降。
机器学习:是人工智能(AI)的一个重要分支,通过算法和统计学方法,能够从数据中学习并进行预测或决策,而不需要明确的程序化指令。常见的机器学习方法包括监督学习、无监督学习和强化学习等,广泛应用于数据分类、图像识别、自然语言处理等领域。

背景:自噬和衰老被认为是骨关节炎发病机制中的重要因素,但具体调控机制尚不清楚。
目的:通过生物信息学分析结合机器学习方法筛选出骨关节炎自噬和衰老相关基因,为骨关节炎的早期诊断和治疗提供新的分子靶点。
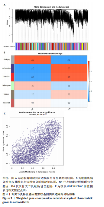
方法:从GEO数据库下载与骨关节炎相关数据集(包括GSE51588、GSE169077和GSE114007),进行差异表达分析、加权基因共表达网络分析和功能富集分析,筛选出骨关节炎自噬和衰老相关基因。通过LASSO回归、随机森林(RF)和支持向量机(SVM)等机器学习方法进一步筛选潜在的核心基因,使用受试者工作特征曲线分析评估核心基因的诊断价值。基于GSE51588数据集,通过CIBERSORT算法分析骨关节炎与健康对照膝关节软骨标本中T细胞亚群、B细胞、巨噬细胞等免疫细胞类型的比例。检测外部验证集GSE114007中骨关节炎样本与健康对照组样本中泛素结合酶E2I、核糖体蛋白S6激酶1、白细胞介素2受体β链、YEATS蛋白家族成员4、组蛋白H4变异体与Toll样受体3的表达。收集临床中5例骨关节炎膝关节软骨标本和5例健康对照膝关节软骨标本,RT-qPCR检测泛素结合酶E2I、核糖体蛋白S6激酶1、白细胞介素2受体β链、YEATS蛋白家族成员4、组蛋白H4变异体与Toll样受体3 mRNA表达。
结果与结论:①获得26个骨关节炎自噬及衰老相关差异基因,功能富集分析结果显示这些基因主要参与细胞稳态、免疫调节和细胞死亡等生物过程,并在多个信号通路中发挥重要作用。通过机器学习方法筛选出6个关键基因:泛素结合酶E2I、核糖体蛋白S6激酶1、白细胞介素2受体β链、YEATS蛋白家族成员4、组蛋白H4变异体与Toll样受体3,这些基因的受试者工作特征曲线下面积AUC值均大于0.8,具有较高的诊断性能。免疫浸润分析显示,骨关节炎组软骨组织中浆细胞、静息CD4记忆T细胞、静息NK细胞、单核细胞、M2型巨噬细胞、嗜酸性粒细胞和中性粒细胞的浸润明显降低,滤泡辅助T细胞、γδT细胞、激活的NK细胞、M1型巨噬细胞和静止树突状细胞的浸润显著增加。②在外部验证集中,骨关节炎组泛素结合酶E2I、白细胞介素2受体β链、Toll样受体3表达高于健康对照组(P < 0.05),两组间组蛋白H4变异体、YEATS蛋白家族成员4、核糖体蛋白S6激酶1表达比较差异无显著性意义(P > 0.05)。在临床样本中,骨关节炎组核糖体蛋白S6激酶1、白细胞介素2受体β链、YEATS蛋白家族成员4、组蛋白H4变异体与Toll样受体3 mRNA表达均高于健康对照组(P < 0.05),两组间泛素结合酶E2I mRNA表达比较差异无显著性意义(P > 0.05)。③结果表明,Toll样受体3、白细胞介素2受体β链可作为骨关节炎软骨细胞自噬及衰老的关键基因,可能成为骨关节炎诊断分子标志物和潜在治疗靶点。
https://orcid.org/0009-0005-2176-0812(阿布都艾尼江·阿不力米提)

中国组织工程研究杂志出版内容重点:干细胞;骨髓干细胞;造血干细胞;脂肪干细胞;肿瘤干细胞;胚胎干细胞;脐带脐血干细胞;干细胞诱导;干细胞分化;组织工程

关键词: 骨关节炎, 细胞自噬, 细胞衰老, 机器学习, 生物信息学, 分子靶点

Abstract: BACKGROUND: Autophagy and senescence are considered important factors in the pathogenesis of osteoarthritis, but their specific regulatory mechanisms remain unclear.  
OBJECTIVE: To screen autophagy- and senescence-related genes in osteoarthritis through bioinformatics analysis combined with machine learning methods, providing new molecular targets for early diagnosis and treatment of osteoarthritis.  
METHODS: Osteoarthritis-related datasets (including GSE51588, GSE169077, and GSE114007) were downloaded from the GEO database. Differential expression analysis, weighted gene co-expression network analysis, and functional enrichment analysis were performed to identify autophagy- and senescence-related genes in osteoarthritis. Subsequently, potential biomarkers were further screened using machine learning methods such as LASSO regression, Random Forest, and Support Vector Machine, and their diagnostic value was evaluated using receiver operating characteristic curves. Based on the GSE51588 dataset, the proportions of immune cell types such as T-cell subsets, B cells, and macrophages in osteoarthritis and healthy control knee cartilage samples were analyzed using the CIBERSORT algorithm. The expression of ubiquitin-conjugating enzyme E2I (UBE2I), ribosomal protein S6 kinase 1 (RPS6KB1), interleukin-2 receptor β chain (IL2RB), YEATS domain-containing protein 4 (YEATS4), histone H4 variant (H4C1), and Toll-like receptor 3 (TLR3) was detected in osteoarthritis samples and healthy controls in the external validation dataset GSE114007. Clinical samples, including five osteoarthritis knee cartilage specimens and five healthy control knee cartilage specimens, were collected. The mRNA expression of UBE2I, RPS6KB1, IL2RB, YEATS4, H4C1, and TLR3 was measured by RT-qPCR.  
RESULTS AND CONCLUSION: (1) A total of 26 differentially expressed genes related to autophagy and senescence in osteoarthritis were identified. Functional enrichment analysis showed that these genes were mainly involved in biological processes such as cellular homeostasis, immune regulation, and cell death, and played important roles in multiple signaling pathways. Six key genes were screened using machine learning methods: UBE2I, RPS6KB1, IL2RB, YEATS4, H4C1, and TLR3. The area under the receiver operating characteristic curve for these genes was all greater than 0.8, indicating high diagnostic performance. Immune infiltration analysis revealed that in the osteoarthritis group, the infiltration of plasma cells, resting CD4 memory T cells, resting NK cells, monocytes, M2 macrophages, eosinophils, and neutrophils was significantly reduced, while the infiltration of follicular helper T cells, γδ T cells, activated NK cells, M1 macrophages, and resting dendritic cells was significantly increased. (2) In the external validation dataset, the expression of UBE2I, IL2RB, and TLR3 was higher in the osteoarthritis group than the healthy control group (P < 0.05), while there was no significant difference in the expression of H4C1, YEATS4, and RPS6KB1 between the two groups (P > 0.05). In clinical samples, the mRNA expression of RPS6KB1, IL2RB, YEATS4, H4C1, and TLR3 was higher in the osteoarthritis group than the healthy control group (P < 0.05), while there was no significant difference in UBE2I mRNA expression between the two groups (P > 0.05). Overall, these findings indicate that TLR3 and IL2RB may serve as key genes for autophagy and senescence in osteoarthritis chondrocytes and potentially be used as diagnostic molecular markers and therapeutic targets for osteoarthritis.  


Key words: osteoarthritis, autophagy, cellular senescence, machine learning, bioinformatics, molecular targets

中图分类号: