Chinese Journal of Tissue Engineering Research ›› 2026, Vol. 30 ›› Issue (23): 6030-6039.doi: 10.12307/2026.371

Previous Articles     Next Articles

Association between sarcopenia and osteoporosis: a genome-wide data analysis in European populations

Yin Xingxiao1, Jiang Yang1, Song Yanping2, Yao Na2, Shen Zhen2, Li Yanqi1, Song Yueyu1, Peng Hao1, Chen Qigang2   

  1. 1School of Physical Education, Yunnan Normal University, Kunming 650500, Yunnan Province, China; 2Department of Rehabilitation, The Third Affiliated Hospital of Yunnan University of Chinese Medicine, Kunming 650011, Yunnan Province, China
  • Received:2025-07-09 Accepted:2025-09-07 Online:2026-08-18 Published:2025-12-31
  • Contact: Chen Qigang, Chief physician, Professor, Master’s supervisor, Department of Rehabilitation, The Third Affiliated Hospital of Yunnan University of Chinese Medicine, Kunming 650011, Yunnan Province, China Corresponding author: Peng Hao, PhD candidate, School of Physical Education, Yunnan Normal University, Kunming 650500, Yunnan Province, China
  • About author:Yin Xingxiao, MS candidate, School of Physical Education, Yunnan Normal University, Kunming 650500, Yunnan Province, China
  • Supported by:
    National Natural Science Foundation of China, No. 82360943 (to SZ); Yunnan Province Youth Talent Special Project - “Xingdian Talent Support Program,” No. XDYC-QNRC-2022-0609 (to SZ); Traditional Chinese Medicine Joint Special Project of Yunnan Provincial Department of Science and Technology, Nos. 202101AZ070001-257 and 202101AZ070001-123 (both to SZ); Basic Research Special Project of Yunnan Provincial Department of Science and Technology, No. 202201AU070120 (to SZ)

Abstract: BACKGROUND: Sarcopenia and osteoporosis have attracted significant attention in the academic community due to their high prevalence and severe adverse outcomes. Although existing studies have suggested a potential causal relationship between sarcopenia and osteoporosis, the evidence remains insufficient. 
OBJECTIVE: Based on large-scale genome-wide data, to explore the causal relationship between genetically predicted sarcopenia and osteoporosis through a bidirectional Mendelian randomization approach. 
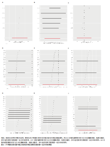
METHODS: Genome-wide significant loci (P < 5×10-8) associated with sarcopenia-related traits were selected from the UK Biobank database (an open database jointly developed by the UK government, the Medical Research Council, and the Wellcome Trust), followed by linkage disequilibrium analysis. Osteoporosis data were obtained from the GEnetic Factors for OSteoporosis Consortium (GEFOS; an open database funded by the EU Framework Program for Research and Development, jointly led by Erasmus University Medical Center in the Netherlands), including 28 498 participants of European ancestry, with a focus on osteoporotic fracture-prone skeletal sites. The inverse-variance weighted method served as the primary analytical approach, supplemented by MR-Egger regression, weighted median method, and MR-RAPS for robustness validation. Multiple sensitivity analyses were conducted to ensure the reliability of the findings. 
RESULTS AND CONCLUSION: The inverse-variance weighted analysis revealed bidirectional causal relationships between fat-free mass and bone mineral density (P < 0.05). Forward causality analysis indicated that fat-free mass was positively associated with lumbar spine bone mineral density [odds ratio (OR)=1.124, 95% confidence interval (CI): 1.008-1.253, P=0.035) but negatively associated with forearm bone mineral density (OR=0.821, 95% CI: 0.699-0.966, P=0.017). Reverse causality analysis demonstrated that forearm bone mineral density (OR=1.033, 95% CI: 1.002-1.066, P=0.036), lumbar spine bone mineral density (OR=1.054, 95% CI: 1.025-1.084, P < 0.001), and femoral neck bone mineral density (OR=1.059, 95% CI: 1.008-1.113, P=0.021) were all positively associated with fat-free mass. A reduction in fat-free mass may lead to decreased lumbar spine bone mineral density, while lower bone mineral density at various skeletal sites may further exacerbate the loss of fat-free mass. Although the study primarily utilized data from European populations, the generalizability of genome-wide association studies and shared genetic backgrounds suggest that these findings hold significant reference value for understanding the pathogenesis of sarcopenia and osteoporosis in Chinese populations, informing clinical intervention strategies, and assessing genetic risks.

Key words: sarcopenia, osteoporosis, osteosarcopenia, causal relationship, bone mineral density, genetics, Mendelian randomization, muscle-bone interaction mechanism

CLC Number: