Loading...

Table of Content

    08 October 2026, Volume 30 Issue 28 Previous Issue   
    For Selected: Toggle Thumbnails
    Function and molecular mechanism of physcion in regulating bone homeostasis
    Qi Yuxin, Dang Yifan, Dai Liming, Zhang Xiaoling
    2026, 30 (28):  7237-7244.  doi: 10.12307/2026.680
    Abstract ( 58 )   PDF (3878KB) ( 21 )   Save
    BACKGROUND: Although physcion has been shown to have protective effects against osteoporosis, the exact mechanism is not fully understood.
    OBJECTIVE: Through multidimensional analysis of the regulatory effect of physcion on the AKT signaling pathway, the molecular mechanism of its regulation on osteoclast induced differentiation and osteogenic function induced differentiation is revealed.
    METHODS: (1) RAW264.7 cells and C3H10T1/2 cells were cultured in vitro and subsequently exposed to 0, 10, 20, 30, 40, 50, and 60 µmol/L physcion, respectively. The cytotoxicity of physcion was detected by cell counting kit-8 assay. (2) RAW264.7 cells and C3H10T1/2 cells were treated with different concentrations (0, 20, and 40 µmol/L) of physcion during osteoclast and osteogenic differentiation, respectively. The differentiation ability was detected by quantitative polymerase chain reaction, western blot assay, and alkaline phosphatase staining, respectively. (3) Based on network pharmacology, the regulation of osteoclast differentiation by physcion and related pathways was analyzed, and molecular docking was performed for target proteins. (4) Western blot assay was used to verify the regulatory effect of physcion on the phosphorylation of AKT in the AKT axis—a downstream pathway.
    RESULTS AND CONCLUSION: (1) Exposure to concentrations of 0-60 µmol/L of physcion resulted in cell survival rates of over 90% in all groups, with no significant cytotoxicity observed. (2) Physcion significantly inhibited the expression of genes related to osteoclast differentiation, with Acp5, CTSK, DC-STAMP, and Nfatc1 showing a downregulation trend. However, it has no significant effect on the expression of genes related to osteoblast differentiation, COL1A1, Runx2, OSX, and alkaline phosphatase staining intensity. (3) According to network pharmacology and molecular docking, physcion affects osteoclast differentiation and regulates the PI3K-AKT pathway, with a binding energy of -10.72 kJ/mol to the AKT1 target and strong binding activity. (4) During osteoclast differentiation, the p-AKT/AKT ratio of RAW264.7 cells was increased (n=3, P=0.006 3), while physcion decreased this ratio. These findings demonstrate that physcion inhibits osteoclast differentiation by regulating the AKT signaling pathway, thereby regulating bone homeostasis. 
    Figures and Tables | References | Related Articles | Metrics
    Effects of platelet-rich fibrin on osteogenic genes and bone microstructure in rats with peri-implant bone defect
    Yang Li, Wang Chao, Ma Xuliang, Yao Yao, Wang Ruicong, Zhang Yixuan, Miao Wei
    2026, 30 (28):  7245-7250.  doi: 10.12307/2026.810
    Abstract ( 52 )   PDF (1714KB) ( 31 )   Save
    BACKGROUND: Peri-implant bone defects may affect implant stability. Platelet-rich fibrin, a second-generation autologous platelet concentrate, contains abundant growth factors and fibrin scaffolds and can facilitate bone regeneration. Nevertheless, its mechanism of action in the context of peri-implant bone defects remains to be fully investigated.
    OBJECTIVE: To investigate the effects of platelet-rich fibrin on osteogenic genes, bone microstructure, and IκB kinase/inhibitor of nuclear factor-κB/nuclear factor-κB signaling pathway in rats with peri-implant bone defect using a rat tibia model to simulate peri-implant bone defects, combined with ligature-induced inflammation.  
    METHODS: Thirty male Sprague-Dawley rats were selected, and 20 of them were selected to establish peri-implant bone defect model. After modeling, they were randomly divided into model group and platelet-rich fibrin group, with an average of 10 rats per group, and the remaining 10 rats were assigned to the control group. The control group and the model group were not treated with any intervention, and the platelet-rich fibrin group was treated with platelet-rich fibrin implantation at the bone defect site. After 8 weeks, Image-Pro-Plus software was used to detect the bone-implant contact rate and new bone formation rate. Micro-CT was used to detect bone microstructure changes. Hematoxylin and eosin staining was used to observe histopathological changes. Nuclear transcription factor-κB, inhibitor of nuclear factor-κB, and IκB kinase were detected by western blot assay. Expression levels of osteopontin, osteocalcin, and Runt-associated transcription factor 2 were detected by RT-PCR.
    RESULTS AND CONCLUSION: (1) At 4 and 8 weeks following surgery, new bone formation rate and bone-implant contact rate were increased in both model group and platelet-rich fibrin group (P < 0.05). New bone formation rate and bone-implant contact rate in platelet-rich fibrin group were significantly higher than model group (P < 0.05). (2) Compared with the control group, the model group showed decreases in trabecular number, bone volume fraction, Lane-Sandhu histological score, and mRNA expression levels of Runt-related transcription factor 2, osteocalcin, and osteopontin (P < 0.05), along with increases in trabecular separation, IκB kinase, inhibitor of nuclear factor-κB, and nuclear factor κB protein expressions (P < 0.05). Compared with the model group, the platelet-rich fibrin group showed increases in trabecular number, bone volume fraction, Lane-Sandhu histological score, and mRNA expressions of Runt-related transcription factor 2, osteocalcin, and osteopontin (P < 0.05), along with decreases in trabecular separation, IκB kinase, inhibitor of nuclear factor-κB, and nuclear factor-κB protein expressions (P < 0.05). (3) Micro-CT showed that no new bone tissue was formed in the model group, the platelet-rich fibrin group exhibited substantial new bone formation with bridging of the bone fracture ends. (4) Hematoxylin and eosin staining showed that the platelet-rich fibrin group had good bone repair status and a large number of new bone cells were generated around the defect. Results suggested that platelet-rich fibrin could accelerate the process of bone cell repair and has a significant promoting effect on bone healing in rats with peri-implant bone defects. Platelet-rich fibrin can increase the expression level of osteogenesis-related genes, improve bone microstructure, and enhance the activity of the IκB kinase/inhibitor of nuclear factor-κB/nuclear factor κB signaling pathway.
    Figures and Tables | References | Related Articles | Metrics
    Shaoyang Shenggu Fang inhibits oxidative stress and delays cartilage aging in rats with knee osteoarthritis
    Yong Qiao, Sun Xin, Wang Guoyou, Zhang Lei, Shen Huarui, Liu Huan, Guan Taiyuan
    2026, 30 (28):  7251-7259.  doi: 10.12307/2026.833
    Abstract ( 75 )   PDF (2418KB) ( 86 )   Save
    BACKGROUND: Preliminary studies have demonstrated that Shaoyang Shengguo Fang can alleviate joint cartilage degeneration and promote cartilage repair, but its specific mechanism for alleviating knee osteoarthritis symptoms remains unclear. The Wnt/β-catenin pathway and oxidative stress play crucial roles in maintaining articular cartilage homeostasis.
    OBJECTIVE: To investigate the molecular mechanisms by which Shaoyang Shenggu Fang regulates the Wnt/β-catenin pathway to inhibit oxidative stress in cartilage and thereby delay cartilage aging in a rat model of knee osteoarthritis.
    METHODS: Thirty-two Sprague-Dawley rats were randomly divided into four groups: a blank control group, a model group, a Western medicine group, and a Chinese medicine group. Animal models of knee osteoarthritis were established in all groups except for the blank control group by transecting the anterior cruciate ligament and resecting the anterior horn of the medial meniscus. At 28 days after modeling, the Chinese medicine group was administered a concentrated Shaoyang Shenggu Fang at 16 g/(kg·d) by gavage, the western medicine group was administered glucosamine hydrochloride solution at 4 mL/d by gavage, and the blank control group and model group were administered the same volume of normal saline by gavage. Four weeks after the start of treatment, hematoxylin-eosin staining and safranin O-fast green staining were used to assess the degree of cartilage injury and degeneration in the rat knee joints. ELISA was used to measure the levels of inflammatory factors and oxidative stress markers in rat serum. Western blot assay was used to determine the expression levels of p21Cip1, p16INK4a proteins, and Wnt signaling pathway-related proteins in rat knee cartilage.
    RESULTS AND CONCLUSION: (1) Compared with the model group, the Western medicine group and the Chinese medicine group showed significant improvement in cartilage defects, cartilage layer thinning, and density decrease in rats, with a significant reduction in Mankin scores (P < 0.05). (2) Compared with the model group, the serum levels of interleukin-1β, tumor necrosis factor-α, and interleukin-6 in the Western medicine group and  Chinese medicine group were significantly reduced (P < 0.05), the serum levels of superoxide dismutase and glutathione peroxidase were significantly increased, and malondialdehyde content was significantly decreased (all P < 0.05). In the Chinese medicine group, the expression levels of p21Cip1, p16INK4a, and Wnt5a proteins in the Chinese medicine group were significantly decreased (P < 0.05 and P < 0.01), the expression levels of β-catenin and C-Myc protein expression levels were decreased (P < 0.05), while the expression level of glycogen synthase kinase 3β protein significantly increased (P < 0.05). (3) To conclude, Shaoyang Shenggu Fang can significantly improve the inflammation and cartilage aging in rats with knee osteoarthritis, and its mechanism may be through the Wnt/β-catenin pathway to inhibit oxidative stress levels in cartilage and delay articular cartilage aging.
    Figures and Tables | References | Related Articles | Metrics
    Regulatory role of ADAMTS8 in proliferation and apoptosis of hypertrophic scar fibroblasts
    Zhang Jingyi, Ma Fang, Liu Honglin, Wang Jianjun, Xia Tongtong, Yang Jiaqi, Wang Yajing, Shen Jiangyong, Jiang Yideng
    2026, 30 (28):  7260-7266.  doi: 10.12307/2026.811
    Abstract ( 64 )   PDF (7285KB) ( 25 )   Save
    BACKGROUND: Studies have confirmed that A disintegrin and metalloproteinase with thrombospondin motifs 8 (ADAMTS8) plays a regulatory role in fibrosis. Therefore, elucidating the mechanism of ADAMTS8 in hypertrophic scar formation holds considerable clinical significance. 
    OBJECTIVE: To investigate the regulatory role of ADAMTS8 in scar fibroblasts.  
    METHODS: (1) Immunohistochemical staining was used to detect the expression of type I collagen, type III collagen, α-smooth muscle actin, and ADAMTS8 in normal human skin tissue and hypertrophic scar tissue. The protein expression level of ADAMTS8 was detected by western blot assay in normal human skin tissue and hypertrophic scar tissue. Hypertrophic scar tissue was taken as positive sample and normal human skin tissue was taken as negative sample. Receiver operating characteristic curve was drawn to analyze the ability of ADAMTS8 to predict the difference between normal human skin and hypertrophic scar. (2) A protein-protein interaction network of ADAMTS8 was constructed using the STRING 12.0 platform, and Gene Ontology function enrichment and Kyoto Encyclopedia of Genes and Genomes pathway enrichment analyses were conducted on the obtained targets. (3) Human hypertrophic scar tissue fibroblasts were isolated and cultured. The 3rd to 6th generation fibroblasts were selected and divided into three groups: the control group was cultured routinely; empty vector group (Ad-NC) transfected with empty vector adenovirus, and overexpressing ADAMTS8 group (Ad-ADAMTS8) was transfected with ADAMTS8 overexpressing adenovirus. The cell proliferation activity was detected by CCK8 assay and EDU staining. Cell apoptosis was detected by flow cytometry and TUNEL staining. 
    RESULTS AND CONCLUSION: (1) Immunohistochemical staining demonstrated significantly higher protein expression of type I collagen, type III collagen, and α-smooth muscle actin in hypertrophic scars compared with normal skin (P < 0.001). In contrast, ADAMTS8 expression was significantly lower in hypertrophic scars (P < 0.001). Western blot assay showed that ADAMTS8 protein expression was significantly lower in hypertrophic scar tissue than in normal skin (P < 0.001). Receiver operating characteristic curve analysis indicated that the area under the curve for ADAMTS8 in predicting the development of hypertrophic scars was 0.86, indicating its good ability to discriminate between hypertrophic scar and normal skin. (2) The top 41 genes were screened using STRING database. Kyoto Encyclopedia of Genes and Genomes enrichment showed that ADAMTS8 was mainly involved in the biological processes and key mechanisms such as extracellular matrix receptor interaction, phosphatidylinositol-3-kinase-protein kinase B signaling pathway and efferocytosis. Gene ontology enrichment showed that ADAMTS8 was involved in apoptosis-related pathway enrichment, including negative regulation of fibroblast growth factor receptor signaling pathway, binding of fibroblast growth factor, negative regulation of apoptosis and apoptosis process. (3) CCK-8 assay and EdU staining showed that of ADAMTS8 overexpression could inhibit the proliferation of hypertrophic scar fibroblasts. Flow cytometry and TUNEL staining showed that ADAMTS8 overexpression could promote the apoptosis of hypertrophic scar fibroblasts. (4) These results indicate that ADAMTS8 expression is significantly decreased in human hypertrophic scars, and ADAMTS8 overexpression can inhibit proliferation of hypertrophic scar fibroblasts and promote apoptosis of hypertrophic scar fibroblasts.
    Figures and Tables | References | Related Articles | Metrics
    Molecular mechanisms of Toddalia asiatica against rheumatoid arthritis: bioinformatics and molecular dynamics simulation
    Deng Qian, Peng Zining, Meng Fanyu, Huang Yuanbo, Liu Nian, Yan Weitian, Li Zhaofu, Peng Jiangyun
    2026, 30 (28):  7267-7279.  doi: 10.12307/2026.788
    Abstract ( 56 )   PDF (8857KB) ( 25 )   Save
    BACKGROUND: The therapeutic potential of Toddalia asiatica in rheumatoid arthritis has garnered increasing attention, yet its mechanisms remain incompletely elucidated.
    OBJECTIVE: To investigate the underlying mechanisms of Toddalia asiatica in treating rheumatoid arthritis using bioinformatics combined with molecular dynamics simulation.
    METHODS: Active ingredients of Toddalia asiatica and their targets were retrieved. Drug targets were intersected with rheumatoid arthritis-related targets, followed by enrichment analysis of the overlapping genes. Molecular docking and molecular dynamics simulations were employed to validate the binding mechanisms between core active ingredients of Toddalia asiatica and key overlapping genes.
    RESULTS AND CONCLUSION: Twenty-two core active ingredients of Toddalia asiatica and their key targets for rheumatoid arthritis treatment were identified through literature screening. Enrichment analysis revealed that Toddalia asiatica likely mediates therapeutic effects by regulating disease-associated signaling pathways (including cancer, infectious diseases, metabolic disorders, and cardiovascular pathways) and biological processes related to metabolism, immunity, and inflammation. Additionally, the main components dihydrochelerythrine and 8-methoxychelerythrine specifically target phospholipase C gamma-2 (PLCG2) and mitogen-activated protein kinase 8 proteins, respectively, indicating that Toddalia asiatica may exert anti-rheumatoid arthritis effects through multi-pathway synergy.
    Figures and Tables | References | Related Articles | Metrics
    Construction of an early knee osteoarthritis rat model: CatWalk-based gait analysis and evaluation
    Bai Xue, Tian Yukui, Guo Lei, Shi Mengni, Cui Xiaofeng, Wang Cheng, Li Jingxian, Zhu Qingguang, Liu Junchang
    2026, 30 (28):  7280-7286.  doi: 10.12307/2026.400
    Abstract ( 100 )   PDF (4264KB) ( 82 )   Save
    ACKGROUND: Studies on existing animal models of knee osteoarthritis predominantly focus on mechanical injury factors but fail to simulate and observe the “cold-dampness obstruction” syndrome characteristics in traditional Chinese medicine. 
    OBJECTIVE: To construct a traditional Chinese medicine-Western medicine integrated knee osteoarthritis model for cold-dampness obstruction syndrome and validate its efficacy via a multidimensional assessment. 
    METHODS: Twenty-four male Sprague-Dawley rats (SPF-grade) were randomly divided into sham surgery, model, and cold-dampness obstruction groups. Both the model and cold-dampness obstruction groups underwent anterior cruciate ligament transection. The cold-dampness obstruction group was exposed to an artificial cold-dampness environment (10.5°C, 90% humidity, 4 h/d, for 4 weeks) starting from 14 days post-surgery. At baseline, 1 and 2 weeks after modeling, and 4 weeks after cold-dampness obstruction intervention, all groups underwent following assessments: traditional Chinese medicine syndrome scoring, automated gait analysis using the CatWalk system, and histological examination with Mankin scoring of the right hindlimb knee joint.
    RESULTS AND CONCLUSION: (1) Traditional Chinese medicine syndrome scoring: The cold-dampness obstruction group exhibited significant lethargy, hypoactivity, diarrhea, cyanotic tongue coloration, dull fur coat, decreased food intake, and attenuated weight gain (P < 0.01). (2) CatWalk gait parameters: One week after modeling, the model and cold-dampness obstruction groups showed significant differences compared with the sham surgery group in terms of hindlimb maximum contact intensity, hindlimb footprint length, hindlimb peak intensity, hindlimb average intensity of 15 maximum pixels, and hindlimb swing phase (all P < 0.01). The cold-dampness obstruction group showed significantly reduced hindlimb swing speed (all P < 0.05). After 4 weeks of cold-dampness intervention, the cold-dampness obstruction group displayed significant reductions in hindlimb maximum contact intensity, peak intensity, and average intensity of 15 maximum pixels compared with the sham surgery group (P < 0.01), along with prolonged hindlimb swing phase (P < 0.01) and decreased swing speed (P < 0.05). (3) Histopathology: Mankin scores significantly increased in the model and cold-dampness obstruction groups compared with the sham surgery group (P < 0.01), while the score in the cold-dampness obstruction group was higher than that in the model group (P < 0.01). These findings indicate that anterior cruciate ligament transection combined with cold-dampness environment can successfully establish a rat model of early knee osteoarthritis with cold-dampness obstruction syndrome. Quantitative gait analysis using the CatWalk system, combined with standardized traditional Chinese medicine syndrome scoring, provides an objective evaluation framework for investigating the mechanisms of traditional Chinese medicine-based osteoarthritis models.
    Figures and Tables | References | Related Articles | Metrics
    Differential proteomic analysis of exercise-induced and pathological cardiac hypertrophy models in mice
    Qin Di, Qin Xuelin, Li Zhu, Ye Jiachi, Chen Gan, Lin Yi, Peng Yong
    2026, 30 (28):  7287-7296.  doi: 10.12307/2026.822
    Abstract ( 69 )   PDF (5665KB) ( 57 )   Save
    BACKGROUND: Improving outcomes for patients with pathological cardiac hypertrophy by leveraging the mechanisms of exercise-induced cardiac hypertrophy is currently a significant focus in cardiovascular research. However, the molecular mechanisms underlying the differences between exercise-induced and pathological cardiac hypertrophy remain incompletely understood.
    OBJECTIVE: To identify potential therapeutic targets for pathological cardiac hypertrophy based on cardiac proteomics using mouse models of exercise-induced and pathological cardiac hypertrophy.
    METHODS: Twenty-one male C57BL/6J mice, aged 6-8 weeks, were randomly divided into three groups: the control group, the exercise training group, and the isoproterenol group, with 7 mice in each group. Mice in the exercise training group were subjected to continuous exercise training for 8 weeks to establish a model of exercise-induced cardiac hypertrophy, while mice in the isoproterenol group were injected subcutaneously with isoproterenol for 7 days to establish a model of pathological cardiac hypertrophy. After successful modeling was verified by assessing the heart mass index, heart mass to tibial length ratio, and performing hematoxylin-eosin staining, wheat germ agglutinin staining, and Sirius red staining, the differential protein expression profiles and functional characteristics of the two cardiac hypertrophy models were analyzed using tandem mass tag-based proteomic technology.
    RESULTS AND CONCLUSION: (1) Compared with the control group, the heart mass index and heart mass to tibial length ratio were significantly increased in the exercise training group and isoproterenol group (P < 0.001, P < 0.05). Myocardial cells in the isoproterenol group exhibited more severe damage compared with the control group, as evidenced by the disorganized arrangement of cardiomyocytes and extensive inflammatory cell infiltration. (2) The cross-sectional area of myocardial cells was significantly increased in the exercise training group and isoproterenol group compared with the control group (P < 0.05, P < 0.01). The area of myocardial fibrosis was significantly higher in the isoproterenol group compared with the control group (P < 0.01). (3) Proteomic analysis revealed 46 differentially expressed proteins in the exercise training group compared with the control group, 302 differentially expressed proteins in the isoproterenol group compared with the control group, and 340 differentially expressed proteins in the exercise training group compared with the isoproterenol group. Among the differentially expressed proteins in the three comparison groups, two intersection proteins were identified as peroxisomal acyl-coenzyme A oxidase 1 (Acox1) and galectin-3. (4) Gene Ontology and Kyoto Encyclopedia of Genes and Genomes enrichment analysis suggested that exercise might induce physiological cardiac hypertrophy by upregulating Acox1 to promote fatty acid metabolism. In contrast, isoproterenol might induce pathological cardiac hypertrophy by downregulating Acox1, potentially leading to peroxisome dysregulation and lipotoxicity. These results suggest that Acox1 and galectin-3 proteins may serve as potential intervention targets for the treatment or prevention of pathological cardiac hypertrophy.

    Figures and Tables | References | Related Articles | Metrics
    Transcriptomic analysis of potential targets of protocatechualdehyde in treatment of atherosclerosis
    Peng Shijing, Jiang Tong, Zhao Wenjie, Wang Hui, Yang Wenqing, Kan Dongfang
    2026, 30 (28):  7297-7306.  doi: 10.12307/2026.805
    Abstract ( 51 )   PDF (6669KB) ( 206 )   Save
    BACKGROUND: Protocatechualdehyde has the potential to delay the progression of atherosclerosis. Nevertheless, its specific mechanisms of action within multi-target regulatory networks remain unclear and require further investigation.
    OBJECTIVE: To investigate the potential targets of protocatechualdehyde in intervening atherosclerosis based on transcriptomics.
    METHODS: (1) Thirty ApoE-/- mice were randomly divided into a model group (n=10), a rosuvastatin group (n=10), and a protocatechualdehyde group (n=10). An atherosclerosis model was induced by feeding the mice with a high-fat diet for 12 weeks. Seven C57BL/6J mice were selected as a control group (without modeling). After successful modeling, the control group and model group were given physiological saline by gavage; the rosuvastatin group was given rosuvastatin by gavage, and the protocatechualdehyde group was given protocatechualdehyde by gavage, once a day for 12 consecutive weeks. After the last administration, samples were collected. An automatic biochemical analyzer was used to detect serum lipid levels in mice. Gross Oil Red O staining and hematoxylin-eosin and Masson staining of paraffin sections of the aortic root were used to detect the pathological conditions of arterial plaques. (2) Aortic sample transcriptome expression profile from the control group, model group, and protocatechualdehyde group mice were analyzed using high-throughput sequencing technology. Differential gene screening FC > 2, q < 0.05, gene ontology and Kyoto Encyclopedia of Genes and Genomes enrichment analysis, weighted gene co-expression network analysis, and short time series expression miner analysis were performed based on the Ouyi Cloud platform. A protein-protein interaction network was constructed by combining the string database, and core genes were screened using Cytoscape. (3) The mRNA expression of Calm4 (calmodulin pseudogene 4), Kprp (keratinocyte proline-rich protein), Hrnr (hornerin 2), and Lor (loricrin) in aortic samples of mice from the control group, model group, and protocatechualdehyde group was detected by RT-PCR to verify candidate targets.
    RESULTS AND CONCLUSION: (1) Protocatechualdehyde significantly reduced serum levels of total cholesterol, triglyceride, high-density lipoprotein cholesterol, and low-density lipoprotein cholesterol in atherosclerosis mice. Gross Oil Red O staining and hematoxylin-eosin and Masson staining of paraffin sections of the aortic root showed that protocatechualdehyde decreased plaque formation, suppressed intimal thickening, increased collagen fiber content, thereby promoting plaque stabilization. (2) Transcriptome analysis identified 191 differentially expressed genes. Through Cytoscape analysis, Kprp, Calm4, Hrnr, and Lor were preliminarily identified as key candidate targets. (3) RT-PCR analysis showed that the expression levels of Kprp, Calm4, Hrnr, and Lor mRNA in the model group were higher than those in the control group (P < 0.05), while the expression levels of Kprp, Calm4, and Lor mRNA in the protocatechualdehyde group were lower than those in the model group (P < 0.05). These results indicate that protocatechualdehyde intervention can significantly improve atherosclerotic plaques, and the three genes Kprp, Calm4, and Lor may be potential targets for protocatechualdehyde treatment of atherosclerosis.
    Figures and Tables | References | Related Articles | Metrics
    Xanthohumol combined with swimming ameliorates hepatic injury in rats with metabolic associated fatty liver disease
    Wang Zheng, Wu Weidong, Zhu Jingsheng
    2026, 30 (28):  7307-7315.  doi: 10.12307/2026.773
    Abstract ( 47 )   PDF (3702KB) ( 12 )   Save
    BACKGROUND: Xanthohumol is a natural polyphenol that exhibits biological activities such as antioxidant and anti-inflammatory properties. Recently, it has been found to potentially improve lipid metabolism disorders. As an aerobic exercise, swimming can effectively regulate body energy metabolism and reduce hepatic fat accumulation. However, the intervention effect and mechanism of their combined application on metabolic associated fatty liver disease remain unclear.
    OBJECTIVE: To investigate the effect of xanthohumol combined with swimming on the ferroptosis pathway mediated by nuclear factor erythroid 2-related factor 2 in rats with metabolic associated fatty liver disease.  
    METHODS: Rats were randomly divided into seven groups: control group, model group, exercise group, low-, medium-, and high-dose xanthohumol, and combination groups, with 12 rats in each group. The rats in control group were fed with normal feed, while the rats in other groups were used to prepare metabolic associated fatty liver disease models. Rats in the exercise and combination groups received swimming training once a day, 6 days per week, for a total of 8 weeks. Rats in other groups were raised quietly. Rats in the low-, medium-, and high-dose xanthohumol groups were intragastrically administered 2 mL of xanthohumol at 25, 50, and 100 mg/kg/d, respectively. Rats in the combination group were intragastrically administered 2 mL of xanthohumol at 100 mg/kg/d. Rats in other groups were intragastrically administered 2 mL of 0.3% sodium carboxymethylcellulose. The intragastric administration lasted for 8 weeks. After the treatment, the serum contents of alanine transaminase, aspartate transaminase, and free fatty acids in each group were detected. Hepatic lipid accumulation was observed by hematoxylin-eosin staining. The hepatic levels of malondialdehyde and reduced glutathione were detected according to the kit instructions. The hepatic ferrous ion content was measured by microassay. The protein expression levels of nuclear factor erythroid 2-related factor 2, Kelch-like ECH-associated protein 1, and glutathione peroxidase 4 in liver tissues were detected by Western blot assay. The mRNA expression levels of ferroptosis-related genes (glutathione peroxidase 4, solute carrier family 7 member 11, ferritin heavy chain 1, ferroportin 1, and ChaC aspartate-specific cysteine peptidase 1) were detected by reverse transcription-quantitative polymerase chain reaction.
    RESULTS AND CONCLUSION: (1) Compared with the exercise and high-dose xanthohumol groups, the combination group showed decreased serum levels of alanine transaminase, aspartate transaminase, and free fatty acids, significant improvement in liver morphology, reduced hepatic malondialdehyde level, increased hepatic reduced glutathione level, decreased hepatic ferrous ion content, increased protein expression levels of nuclear factor erythroid 2-related factor 2 (in cell nucleus) and glutathione peroxidase 4 in liver tissues, decreased protein expression of Kelch-like ECH-associated protein 1, increased mRNA expression levels of glutathione peroxidase 4, solute carrier family 7 member 11, ferritin heavy chain 1, and ferroportin 1, and decreased mRNA level of ChaC aspartate-specific cysteine peptidase 1 in liver tissues (P < 0.05). (2) These results suggest that xanthohumol combined with swimming may ameliorate liver injury in rats with metabolic associated fatty liver disease by regulating the nuclear factor erythroid 2-related factor 2-mediated ferroptosis pathway.
    Figures and Tables | References | Related Articles | Metrics
    Evolution, development and molecular regulation of fish tooth
    Wang Shuoran, Huang Rui, Dong Lingyue, An Wei, Huang Xiaofeng
    2026, 30 (28):  7316-7322.  doi: 10.12307/2026.785
    Abstract ( 97 )   PDF (1570KB) ( 188 )   Save
    BACKGROUND: Fish tooth serves as a pivotal model for depicting evolution and development of vertebrate and human tooth. Recent advancements in molecular developmental biology have provided new insights in the developmental homology between the teeth and scales of fish, as well as the signaling pathways involved. However, comparative studies across species and integration of evolutionary mechanisms require further exploration.
    OBJECTIVE: To synthesize the evolutionary origins, morphological diversification, and molecular regulatory mechanisms of fish dentition, while critically comparing core propositions and limitations of existing hypotheses.
    METHODS: A systematic literature search was conducted using PubMed and China National Knowledge Infrastructure databases with search terms “fish teeth, teeth development, evolution of teeth, molecular regulation of teeth” in both English and Chinese. Articles published between 1970 and 2025 were screened. According to the inclusion criteria, 77 articles were ultimately included for comprehensive analysis.
    RESULTS AND CONCLUSION: Molecular evidence supports the revised hypothesis of “outside-in,” demonstrating co-evolution of ectodermal scales and endodermal mesenchyme in dental formation. Fish dentin is classified into four distinct types, which are orthodontin, osteodentin, pseudoosteodentin, and vasodentin. Chondrichthyan enameloid mineralization initiates through tubular vesicles secreted by odontoblasts, whereas teleosts employ collagen fiber-guided crystal growth, indicating an evolutionary transition from vesicle-dominated to collagen-templated mineralization mechanisms. Sonic hedgehog signaling precisely regulates dental row regeneration in cartilaginous fish, while zebrafish pharyngeal dentition relies on spatiotemporal activation of retinoic acid signaling. Core pathways (fibroblast growth factor, Sonic hedgehog, and Wnt)) maintain functional conservation, yet their regulatory elements exhibit adaptive evolution through natural selection pressures.

    Figures and Tables | References | Related Articles | Metrics
    Synergistic imbalance in lumbar core muscles and novel targeted interventions for intervertebral disc degeneration
    You Chenyang, Jiang Chao, Che Yanjun
    2026, 30 (28):  7323-7331.  doi: 10.12307/2026.808
    Abstract ( 127 )   PDF (1559KB) ( 44 )   Save
    BACKGROUND: Research on the mechanical stability imbalance mechanism in intervertebral disc degeneration has long focused on the paraspinal muscles, with insufficient attention paid to the anterior/posterior abdominal wall and hip core muscle groups. There is a particular lack of systematic analysis of the synergistic actions of multiple muscle groups, and the link between molecular mechanisms and muscle function remains unclear.
    OBJECTIVE: To integrate evidence on the association between the anterior/posterior abdominal wall, paraspinal, and hip core muscle groups and intervertebral disc degeneration, to elucidate interaction of synergistic muscle imbalance with molecular pathways such as Piezo1–YAP, and to propose targeted prevention and treatment strategies.
    METHODS: A search was conducted in CNKI, WanFang, PubMed and Web of Science using a combination of MeSH terms (e.g., transversus abdominis[MeSH]) and free terms (e.g., TrA, IVDD) connected by Boolean operators (AND/OR) for muscle anatomical terms (transversus abdominis, gluteus maximus, etc.), disease terms (intervertebral disc degeneration, low back pain, etc.), and study types (RCT, cohort study, etc.). Ultimately, 61 articles were selected for analysis based on predefined criteria.
    RESULTS AND CONCLUSION: There is a complex relationship between the lumbar core muscle groups and intervertebral disc degeneration. The transversus abdominis maintains lumbar stability by regulating intra-abdominal pressure and thoracolumbar fascia tension; its decompensation (inhibition/atrophy) is a key pathological feature of disc degeneration. Meanwhile, patients with disc degeneration exhibit characteristic synergistic dysfunctions in the core muscle groups: (1) Antagonistic compensation in the abdominal wall muscles (overactivation of the internal/external obliques to compensate for transversus abdominis dysfunction). (2) Dual compensation in the quadratus lumborum region (regional reorganization of psoas-quadratus lumborum synergy, interregional compensation between erector spinae and quadratus lumborum/psoas). (3) Gluteal muscle imbalance (fatty infiltration/inhibition of gluteus maximus, protective compensatory dominance of the gluteus medius on the dominant side). These synergistic dysfunctions are central to disrupting spinal stability and accelerating disc degeneration. Multi-muscle synergistic imbalance (e.g., disruption of the gluteal-lumbar-abdominal kinetic chain) not only exacerbates local mechanical abnormalities but also affects overall spine-pelvis biomechanical balance through systemic compensation and disrupts intra-abdominal pressure regulation. Molecular mechanism studies indicate that abnormal mechanical loading activates the Piezo1–Ca²⁺–F-actin–YAP signaling axis, promoting extracellular matrix degradation and inflammatory responses. Concurrently, imbalance in the nuclear factor E2-related factor 2/nuclear factor-κB pathway exacerbates oxidative stress and the inflammatory microenvironment, forming a vicious biomechanical-biological cycle. Intervention strategies targeting the restoration of synergistic core muscle function (e.g., transversus abdominis-targeted training, gluteal strengthening, and correction of abnormal activation patterns) and their combination with molecularly targeted drugs hold significant clinical potential. Future research should further investigate the mechanisms of interaction between muscle groups and compensation patterns to optimize the prevention and treatment of intervertebral disc degeneration.
    Figures and Tables | References | Related Articles | Metrics
    Molecular mechanisms of active compounds from Tripterygium wilfordii in prevention and treatment of rheumatoid arthritis
    Zhang Hongrui, Wu Ruiqi, Wang Wenchi, Peng Qinglin, Cui Wei
    2026, 30 (28):  7332-7339.  doi: 10.12307/2026.809
    Abstract ( 68 )   PDF (24388KB) ( 31 )   Save
    BACKGROUND: Currently, traditional Chinese medicine has been proven to play a significant role in combating rheumatoid arthritis. The efficacy and mechanisms of active components of Tripterygium wilfordii against rheumatoid arthritis have gained increasing recognition among researchers.
    OBJECTIVE: To summarize the research progress on the anti-rheumatoid arthritis effects of active components from Tripterygium wilfordii in vitro and in vivo.
    METHODS: Relevant literature published from inception to March 2025 was retrieved from CNKI, WanFang, VIP, and PubMed databases. Search terms included “rheumatoid arthritis, synovial cells, bone erosion, osteoclast, Tripterygium wilfordii, signal path” in Chinese and English. Eighty-seven articles were ultimately selected for review.
    RESULTS AND CONCLUSION: (1) Triptolide effectively alleviates joint inflammation and inhibits the abnormal proliferation and migration of fibroblast-like synoviocytes. Triptolide inhibits the production of downstream pro-inflammatory factors (such as interleukin-6 and interleukin-17) by blocking Janus kinase 2/signal transduction and transcription activator factor 3 signal transduction mediated by interleukin-6 and soluble interleukin-6 receptors.. Additionally, triptolide reduces the expression of circRNA0003353 in rheumatoid arthritis fibroblast-like synoviocytes in a time-dependent manner. Concurrently, triptolide elevates the level of the anti-inflammatory cytokine interleukin-4, diminishes cell viability, and impairs migration capacity. These effects collectively demonstrate its dual potential in exerting anti-inflammatory actions and inhibiting pathological synovial hyperplasia. (2) Tripterine significantly reduces joint swelling, synovial hyperplasia, inflammatory cell infiltration, and bone erosion. By inhibiting the reactive oxygen species/nuclear factor kappa B/NOD-like receptor family pyrin domain containing 3 signaling pathway, tripterine decreases the secretion of pro-inflammatory cytokines interleukin-1β and interleukin-18 in serum and immune cells. In collagen-induced arthritis rat models, tripterine significantly reduces the levels of inflammatory cytokines such as tumor necrosis factor α and interleukin 1β by inducing autophagy and inhibiting the phosphatidylinositol 3-kinase/protein kinase B/mammalian target of rapamycin signaling pathway, exerting cytoprotective and anti-inflammatory effects. (3) Wilforine inhibits rheumatoid arthritis inflammation and potentially modulates bone metabolism. In rat models of collagen-induced arthritis, Wilforine downregulates interleukin-6, interleukin-1β, and tumor necrosis factor α levels, and exerted its therapeutic effect by inhibiting the abnormally activated Wnt/β-catenin signaling pathway. (4) Active components of Tripterygium wilfordii exhibit promising therapeutic effects against rheumatoid arthritis. However, their mechanisms are complex, involving interactions among multiple genes, proteins, and signaling pathways. Current research has not yet fully elucidated the specific mechanisms of action of the active ingredients in Tripterygium wilfordii, which limits their broad clinical application. Future studies should further explore the molecular mechanisms of active ingredients of Tripterygium wilfordii, as well as conducting large-scale clinical trials to validate their efficacy and safety. Additionally, combination strategies with other therapeutic agents ought to be explored to achieve enhanced treatment outcomes. 
    Figures and Tables | References | Related Articles | Metrics
    Hedgehog signaling pathway and diabetic osteoporosis: a potential target for specific drug therapy
    Tian Tan, Bao Shanjun
    2026, 30 (28):  7340-7346.  doi: 10.12307/2026.813
    Abstract ( 51 )   PDF (3373KB) ( 21 )   Save
    BACKGROUND: The Hedgehog signaling pathway has been demonstrated to play a crucial role in osteogenesis, promoting osteoblast differentiation and maturation, maintaining bone metabolic homeostasis, enhancing glucose metabolism, and improving insulin resistance, thereby offering therapeutic potential for both osteoporosis and diabetes. Currently, the primary treatment strategy for diabetic osteoporosis involves a combination of hypoglycemic agents and calcium supplements. However, studies indicate that some antidiabetic drugs may disrupt calcium and phosphate balance, accelerating bone loss. Therefore, identifying effective therapeutic targets for diabetic osteoporosis is imperative. 
    OBJECTIVE: To explore the relationship between Hedgehog signaling pathway activation and diabetic osteoporosis pathogenesis, providing a reference and theoretical basis for the subsequent development of targeted drugs for diabetic osteoporosis.
    METHODS: Literature on the link between Hedgehog signaling pathway transduction and the pathological mechanism of diabetic osteoporosis published from the inception of PubMed and CNKI databases up to July 2025 was retrieved. Chinese and English search terms were “diabetic osteoporosis, hedgehog signaling pathway, osteogenic differentiation, glucose metabolism, Runx2, AGES.” References from the past 5 years were prioritized, and those with weak relevance or duplicate content were excluded based on their arguments and content. A total of 81 articles were finally included for analysis.
    RESULTS AND CONCLUSION: (1) Prevention and treatment of diabetic osteoporosis require simultaneous regulation of both bone metabolism and glucose metabolism. Activation of the Hedgehog signaling pathway can promote osteoblast differentiation and increase bone mass by initiating the transcription of the target gene Runt-related transcription factor 2 and co-regulating with the Wnt signaling pathway. (2) Furthermore, the expression of the Hedgehog signaling pathway also promotes the activation of phosphatidylinositol 3-kinase-protein kinase B and adenosine monophosphate-activated protein kinase signaling pathways and reduces advanced glycation end products. Activation of these two signaling pathways can promote glucose transport and utilization and enhance glucose metabolism. Advanced glycation end products are a significant cause of stress response. A decrease in advanced glycation end products can improve stress response, inhibit pancreatic β-cell apoptosis, and maintain glucose homeostasis.
    Figures and Tables | References | Related Articles | Metrics
    Exercise regulation of pyroptosis for the prevention and treatment of bone metabolic disorders
    Zan Junhao, Hu Shujuan, Yuan Xinguo, Pu Rui
    2026, 30 (28):  7347-7354.  doi: 10.12307/2026.373
    Abstract ( 69 )   PDF (1451KB) ( 15 )   Save
    BACKGROUND: Pyroptosis is extensively involved in bone formation mediated by osteoblasts and bone resorption mediated by osteoclasts. Inflammatory factors released during pyroptosis contribute to bone metabolic imbalance. Exercise can inhibit pyroptosis and regulate the progression of bone metabolic disorders, which has become a research hotspot for preventing and treating such diseases.
    OBJECTIVE: To summarize the regulatory role of pyroptosis in bone metabolic disorders and to elucidate the molecular mechanisms by which exercise-mediated pyroptosis improves these conditions.
    METHODS: CNKI and PubMed were searched for relevant literature published from 1992 to 2025. The search terms were “exercise, pyroptosis, osteoporosis, osteoarthritis, rheumatoid arthritis, abnormal bone metabolism, osteoblasts, osteoclasts, bone marrow mesenchymal stem cells, osteocytes, chondrocytes” in Chinese and English, respectively. According to the inclusion and exclusion criteria, 80 articles were included for review.
    RESULTS AND CONCLUSION: Pyroptosis plays a critical role in the pathogenesis of bone metabolic disorders. Recent studies have indicated that exercise, as a safe and effective non-pharmacological intervention, alleviates pyroptosis by suppressing inflammasome activation, inhibiting pyroptosis-related protein expression, modulating muscle factor cytokine secretion and reducing oxidative stress levels. These mechanisms collectively reduce bone resorption and enhance bone formation. However, current research on pyroptosis and bone metabolic disorders has limitations, and the specific signaling pathways and regulatory mechanisms by which exercise modulates pyroptosis in these diseases require further exploration.
    Figures and Tables | References | Related Articles | Metrics
    Single hyperbaric oxygen for exercise-induced fatigue: an evaluation using conventional monitoring indicators
    Xiang Yang, Hu Jiangping, Liu Qi, Fu Beilun, Li Miao, Zhu Huan, Qian Youling, Wang Kangfeng
    2026, 30 (28):  7355-7363.  doi: 10.12307/2026.807
    Abstract ( 66 )   PDF (1547KB) ( 22 )   Save
    BACKGROUND: Currently, the research on the fatigue elimination effect of hyperbaric oxygen therapy mainly involves two forms: single-session intervention and periodic multiple intervention, with the application research of single therapy being the main focus. However, the effectiveness of single-session hyperbaric oxygen therapy on exercise-induced fatigue remains controversial, affecting its application in sports training. 
    OBJECTIVE: To summarize the intervention effect of a single hyperbaric oxygen therapy on exercise-induced fatigue from two aspects: the commonly used biochemical monitoring indicators and physiological monitoring indicators for exercise-induced fatigue, and proposes corresponding application strategies based on the current status of application research and training practice. 
    METHODS: Literature searches were conducted in both Chinese (e.g., CNKI and WanFang) and English (e.g., PubMed) databases using the keyword combinations “hyperbaric oxygenation, micro-barometric oxygen, oxygen therapy, micro-hyperbaric oxygen” and “exercise fatigue, high intensity exercise, heart rate, heart rate variability, rating of perceived exertion, blood urea, creatine kinase, testosterone, cortisol, white blood cell, hemoglobin,” respectively. The search period spanned from January 2001 to June 2025. A total of 62 papers were ultimately for review and analysis. 
    RESULTS AND CONCLUSION: (1) Single-dose hyperbaric oxygen intervention can promote the elimination of exercise fatigue, but the intervention effect on commonly used physiological monitoring indexes is better than that of biochemical indexes, in which the type of fatigue and the degree of fatigue (the variability of fatigue-inducing protocols), the insufficient dosage of hyperbaric oxygen, and the metabolic characteristics of the biochemical indexes in the body may be the main factors causing this problem. (2) In view of the current research situation, it is suggested that the follow-up research should be conducted in the following directions: “Comprehensively compare the advantages and disadvantages of different hyperbaric modes, deeply compare the intervention effects of different hyperbaric intervention times on exercise fatigue, clarify the intervention effects of single hyperbaric oxygen therapy during non-acute exercise fatigue, and establish a comprehensive evaluation index system for the intervention effects of hyperbaric oxygen.” 
    Figures and Tables | References | Related Articles | Metrics
    Mechanisms and potential therapeutic strategies for skeletal muscle extracellular matrix aging
    Zhou Jing, Su Dongming, Yang Dan
    2026, 30 (28):  7364-7369.  doi: 10.12307/2026.755
    Abstract ( 118 )   PDF (1505KB) ( 59 )   Save
    BACKGROUND: Clarifying the interactions between multiple signaling pathways and axonal pathological alterations, and elucidating the role and mechanisms of axonal degeneration in the onset and progression of Parkinson’s disease will pave the way for research on the pathogenesis and pathological mechanisms of Parkinson’s disease centered around axonal degenerative changes.
    OBJECTIVE: Through in-depth analysis of the roles and interactions of the signaling pathways mentioned in this review during the occurrence and development of Parkinson’s disease, to uncover potential clinical early warning mechanisms and explore novel strategies for prevention and treatment, including targeted gene sites, drug therapy, and rehabilitation interventions.
    METHODS: A search of the PubMed database was conducted using the following keywords: “Parkinson, PD, axonal regeneration, aging, α-syn, pathological mechanism, autopsy, mitochondria, ER stress, inflammatory response, Nrf2/ Keap1, BDNF, NGF, NT3/TrkC, GDNF, RhoA, Rac/Cdc42, Wnt/β-catenin, SHH, Notch, Slit-Robo, Ephrin, Netrin, Semaphorin, integrin, ubiquitin-proteasome, autophagy-lysosome, apoptosis, exercise.” Another search of CNKI database was conducted using the search terms of “Parkinson’s, axonal degeneration, exercise, oxidative stress, brain-derived neurotrophic factor.” Literature was screened based on inclusion and exclusion criteria, and 101 articles were finally included for review and analysis.
    RESULTS AND CONCLUSION: Studies have shown that Parkinson’s disease lesions initially occur in the limbic system region of the brain or the olfactory bulb, and that early axonal degeneration usually precedes cytosolic degeneration. Abnormal protein folding and aggregation, mitochondrial dysfunction, endoplasmic reticulum stress, and inflammatory responses are among the signaling pathways that may directly lead to axonal damage. At the same time, signaling pathways involved in cellular stress responses, neurotrophic factors, cytoskeletal regulation, development and regeneration, axonal growth and guidance, and removal of abnormal proteins contribute to the repair of damaged axons. Therefore, the prevention and treatment strategies for Parkinson’s disease, should focus on promoting the activation and expression of repair pathways. For instance, the use of quinacrine and clorgiline or the activation of brain-derived neurotrophic factor expression through exercise may effectively facilitate axonal repair. Additionally, inhibiting the aberrant activation of damage-related pathways is a crucial aspect of treatment strategies. Such approaches include gene knockout of α-synuclein, Parkin, or the use of drugs like empagliflozin to reduce oxidative stress and inflammation, potentially delaying the progression of Parkinson’s disease.

    Figures and Tables | References | Related Articles | Metrics
    Signaling pathways associated with dopaminergic neuronal axonal degeneration in Parkinson’s disease
    Wang Jiao, Song Wenjun, Xin Rui, Liu Wei, Ying Zhenhao
    2026, 30 (28):  7370-7377.  doi: 10.12307/2026.765
    Abstract ( 70 )   PDF (1699KB) ( 26 )   Save
    BACKGROUND: Clarifying the interactions between multiple signaling pathways and axonal pathological alterations, and elucidating the role and mechanisms of axonal degeneration in the onset and progression of Parkinson’s disease will pave the way for research on the pathogenesis and pathological mechanisms of Parkinson’s disease centered around axonal degenerative changes.
    OBJECTIVE: Through in-depth analysis of the roles and interactions of the signaling pathways mentioned in this review during the occurrence and development of Parkinson’s disease, to uncover potential clinical early warning mechanisms and explore novel strategies for prevention and treatment, including targeted gene sites, drug therapy, and rehabilitation interventions.
    METHODS: A search of the PubMed database was conducted using the following keywords: “Parkinson, PD, axonal regeneration, aging, α-syn, pathological mechanism, autopsy, mitochondria, ER stress, inflammatory response, Nrf2/ Keap1, BDNF, NGF, NT3/TrkC, GDNF, RhoA, Rac/Cdc42, Wnt/β-catenin, SHH, Notch, Slit-Robo, Ephrin, Netrin, Semaphorin, integrin, ubiquitin-proteasome, autophagy-lysosome, apoptosis, exercise.” Another search of CNKI database was conducted using the search terms of “Parkinson’s, axonal degeneration, exercise, oxidative stress, brain-derived neurotrophic factor.” Literature was screened based on inclusion and exclusion criteria, and 101 articles were finally included for review and analysis.
    RESULTS AND CONCLUSION: Studies have shown that Parkinson’s disease lesions initially occur in the limbic system region of the brain or the olfactory bulb, and that early axonal degeneration usually precedes cytosolic degeneration. Abnormal protein folding and aggregation, mitochondrial dysfunction, endoplasmic reticulum stress, and inflammatory responses are among the signaling pathways that may directly lead to axonal damage. At the same time, signaling pathways involved in cellular stress responses, neurotrophic factors, cytoskeletal regulation, development and regeneration, axonal growth and guidance, and removal of abnormal proteins contribute to the repair of damaged axons. Therefore, the prevention and treatment strategies for Parkinson’s disease, should focus on promoting the activation and expression of repair pathways. For instance, the use of quinacrine and clorgiline or the activation of brain-derived neurotrophic factor expression through exercise may effectively facilitate axonal repair. Additionally, inhibiting the aberrant activation of damage-related pathways is a crucial aspect of treatment strategies. Such approaches include gene knockout of α-synuclein, Parkin, or the use of drugs like empagliflozin to reduce oxidative stress and inflammation, potentially delaying the progression of Parkinson’s disease.
    Figures and Tables | References | Related Articles | Metrics
    Metabolic dysfunction-related fatty liver disease: pathological mechanisms mediated by common and heterogeneous pathways
    Sun Zhiyuan, Xu Kai, Tian Xuewen, Shang Qinghui
    2026, 30 (28):  7378-7387.  doi: 10.12307/2026.823
    Abstract ( 108 )   PDF (7979KB) ( 19 )   Save
    BACKGROUND: In recent years, with the continuous maturity of the research system, metabolic dysfunction related fatty liver disease has become independent from traditional non-alcoholic fatty liver disease. Its metabolic disorder background and heterogeneous disease progression patterns have updated the academic understanding of this type of disease. However, the relationship between the common occurrence mechanism of this type of disease and the pathological differences between individuals still needs to be further elucidated through systematic research.   
    OBJECTIVE: To review the common pathways (such as insulin resistance and oxidative stress) commonly found in the pathological mechanisms of metabolic dysfunction related fatty liver disease, and to explore their heterogeneous regulatory networks (such as genetic variation and adipose tissue dysfunction) in depth so as to analyze the interactive relationship between the them.   
    METHODS: A systematic search was conducted on Chinese and English literature from databases such as Web of Science, PubMed, Embase, CNKI, WanFang, and VIP. The search period covered relevant literature published from the database inception to June 2025. The focus was on the common mechanisms of metabolic disorders, genetic/microenvironmental heterogeneity pathways, and clinical phenotype typing in fatty liver disease related to metabolic dysfunction. A narrative review method was used to organize relevant literature in the field and integrate research evidence.   
    RESULTS AND CONCLUSION: The pathological mechanism of fatty liver disease associated with metabolic dysfunction revolves around the core of “dynamic interactions of heterogeneous regulation of common pathways.” Among the common pathways, insulin resistance is a key link, activating the production of new fat in the liver, inhibiting fatty acid oxidation, and jointly leading to abnormal lipid deposition in hepatocytes. Activation of the nuclear factor κB inflammatory pathway exacerbates hepatocyte damage, and upregulation of the transforming growth factor β pathway promotes liver fibrosis. The synergistic effect of oxidative stress, redox imbalance, and excessive fatty acid accumulation impairs mitochondrial function, increases reactive oxygen species production, and damages cell structure. Imbalances (such as abnormal β-hydroxybutyrate/acetoacetate ratios) further exacerbate this damage and promote the progression of metabolic dysfunction-related fatty liver disease. Regarding heterogeneous regulation, PNPLA3 I148M inhibits triglyceride hydrolysis, and TM6SF2 E167K reduces very low-density lipoprotein precursor secretion, independently driving the risk of metabolic dysfunction-related fatty liver disease, liver fibrosis, and cancer. Abnormal adipose tissue function is key to metabolic dysfunction-related fatty liver disease, leading to ectopic fat deposition and decreased adiponectin levels. Among the three metabolic subtypes, type A has a lower cardiovascular risk, while types B/C show rapid progression of liver fibrosis. Therefore, the dynamic interactions between genetics, metabolism, and environment influence the disease trajectory. Differential interventions based on metabolic subtypes and genetic metabolic risk scores can provide theoretical support for precise risk stratification and personalized treatment of metabolic dysfunction-related fatty liver disease. 
    Figures and Tables | References | Related Articles | Metrics
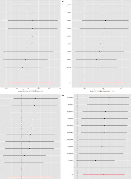
    Sarcopenia and cognitive impairment: a data analysis based on European population databases
    Yin Xingxiao, Peng Hao, Song Yanping, Yao Na, Shen Zhen, Jiang Yang, Chen Hongbo, Huang Li, Song Yueyu, Li Yanqi, Chen Qigang
    2026, 30 (28):  7388-7395.  doi: 10.12307/2026.768
    Abstract ( 71 )   PDF (14012KB) ( 23 )   Save
    BACKGROUND: In recent years, multiple epidemiological studies have suggested a potential pathological link between sarcopenia and cognitive impairment. However, due to methodological limitations in traditional observational studies and difficulties in controlling confounding factors, their genetic-level causal relationship has not yet been fully elucidated. 
    OBJECTIVE: To systematically analyze the causal relationship and underlying pathogenesis between sarcopenia and cognitive impairment in European populations using Mendelian randomization methods. 
    METHODS: This study utilized genome-wide association study (GWAS) summary statistics for sarcopenia-related phenotypes (whole-body fat-free mass, hand grip strength, and walking pace) from the UK Biobank, as well as GWAS summary data for cognitive function from the IEU database. After stringent quality control steps, including threshold screening and linkage disequilibrium removal, a bidirectional Mendelian randomization analysis was conducted. The forward analysis treated sarcopenia-related traits as exposure factors and cognitive function as the outcome variable, while the reverse analysis swapped their causal directions. The inverse-variance weighted method served as the primary analytical approach, supplemented by the weighted median method, MR-Egger regression, and robust adjusted profile score for validation. To ensure the robustness of the findings, the study further performed heterogeneity tests and a series of sensitivity analyses. 
    RESULTS AND CONCLUSION: (1) The results of the forward causal analysis using the inverse variance-weighted Mendelian randomization method indicated that total fat-free mass (odds ratio=1.091, 95% confidence interval: 1.001–1.188, P=0.045), left handgrip strength (odds ratio=1.283, 95% confidence interval: 1.077–1.527, P=0.005), right handgrip strength (odds ratio=1.220, 95% confidence interval: 1.022–1.456, P=0.027), and walking speed (odds ratio=3.069, 95% confidence interval: 1.997–4.717, P < 0.001) were all significantly positively correlated with cognitive function. (2) The results of the reverse causal analysis showed that cognitive function was only significantly positively associated with walking speed (odds ratio=1.023, 95% confidence interval: 1.004–1.043, P=0.014), with no significant association found for total fat-free mass or handgrip strength. (3) Sensitivity analyses indicated some heterogeneity in the study; however, horizontal pleiotropy was not observed. Research findings demonstrate a causal relationship between sarcopenia and cognitive impairment, suggesting that sarcopenia may serve as a predictive indicator for cognitive impairment and providing a theoretical basis for early clinical screening. Furthermore, this study, based on an international public database, offers new evidence for the association between sarcopenia and cognitive impairment in the Chinese population, which holds significant reference value for the early screening and prevention of these two conditions.
    Figures and Tables | References | Related Articles | Metrics
    Research hotspots and trends of optogenetics in behavioral neuroscience
    Liu Yan, Zuo Qingchun, Li Weiying, Wu Xubo
    2026, 30 (28):  7396-7403.  doi: 10.12307/2026.806
    Abstract ( 81 )   PDF (43428KB) ( 24 )   Save
    BACKGROUND: Optogenetics has achieved considerable advances in emotion regulation, reward mechanisms, social behavior, and motor control, demonstrating broad prospects for investigating the pathological mechanisms underlying various neuropsychiatric disorders, including depression, autism spectrum disorder, Parkinson’s disease, and epilepsy.
    OBJECTIVE: To analyze the global scientific collaboration network of optogenetics in behavioral neuroscience, identify key research foci, and explore future research directions.
    METHODS: A bibliometric analysis was performed using CiteSpace and VOSviewer software to perform a visualized analysis of relevant literature indexed in the Web of Science Core Collection from January 2010 to December 2024.
    RESULTS AND CONCLUSION: (1) A total of 859 articles were included, involving 47 countries, 834 research institutions, and 5 525 authors, and 125 journals. Since 2020, the annual number of publications has increased significantly, indicating that the field has entered a phase of rapid growth. The United States and high-income European countries demonstrate leading positions in research output and academic influence. The Chinese Academy of Sciences, Stanford University, Columbia University, the University of California San Diego, and the University of Washington were identified as core institutions in the collaboration network. Representative prolific authors include Karl Deisseroth, Garret D. Stuber, and Shumin Duan. (2) Optogenetics in behavioral neuroscience has established a relatively stable international collaboration network, with high-income countries playing a leading role in technological innovation and theoretical advancement. Research hotspots primarily focus on emotion regulation, reward and motivation mechanisms, and the modeling of social behaviors. Future research is expected to focus on the neural regulation of sleep-related mood disorders and the regulation of higher cognitive functions such as social cognition and decision-making. Overall, the field is shifting from foundational mechanisms to complex behavioral systems and from unimodal interventions to multimodal integration.
    Figures and Tables | References | Related Articles | Metrics
    Post-stroke rehabilitation robotics: current research status and hot topics in and outside China
    Wang Xueting, Yang Wei, Wang Pengqin
    2026, 30 (28):  7404-7409.  doi: 10.12307/2026.816
    Abstract ( 95 )   PDF (1800KB) ( 100 )   Save
    BACKGROUND: In recent years, the research on stroke rehabilitation robots has developed rapidly both domestically and internationally. It involves the intersection of multiple disciplines such as rehabilitation medicine, artificial intelligence, virtual reality, and sensor technology, and has become a research hotspot in the field of stroke rehabilitation.
    OBJECTIVE: To grasp the current status and hotspots of research in this field through a comparative analysis of domestic and international research on post-stroke rehabilitation robots, and predict the future development trend.
    METHODS: The Web of Science Core Collection and CNKI were selected as data sources. Literature related to post-stroke rehabilitation robots published between 2005 and 2025 was collected. CiteSpace 6.2.R3 visualization software and bibliometric methods were employed to conduct a comparative analysis focusing on annual publication volume, contributing countries, and keywords, highlighting differences in post-stroke rehabilitation robots between Chinese and international research. Additionally, cutting-edge technologies in and outside China were summarized and projected. 
    RESULTS AND CONCLUSION: (1) A total of 3 522 articles in English and 717 articles in Chinese were included in the study. (2) Totally 81 countries participated in the study between 2005 and 2025, forming a cross-continental cooperative network centered on USA, China, and Italy. (3) In terms of the trend of publications, both domestic and foreign studies on post-stroke rehabilitation robotics had shown year-on-year growth, with an average annual growth rate of 13.06% for foreign publications and a domestic growth rate of 20.17%, which was about 1.5 times higher than that of foreign publications. (4) From the perspective of research trends, foreign research had experienced the mechanism exploration period, clinical transformation period and intelligent integration period, and was currently focusing on multidisciplinary intersection and technology integration, such as robot perception system, machine learning technology and other cutting-edge directions. Domestic research started from the introduction of technology and clinical validation, and gradually developed to the stage of intelligent integration and precision rehabilitation. In recent years, significant progress had been made in the brain-computer interface, virtual reality technology and other multimodal integration. (5) In terms of research hotspots, foreign research focused on the design optimization and multimodal integration of robotic technology, while domestic research focused on the functional outcome after stroke. In addition, foreign countries were more advanced in neurophysiological signal fusion, advanced algorithms, and model construction, while domestic research showed unique advantages in the combination of rehabilitation technology and traditional Chinese medicine therapy. These findings indicate that the field of post-stroke rehabilitation robots is experiencing rapid development, with technological integration and clinical translation being core future trends. While domestic and international studies exhibit distinct emphases, both are committed to enhancing the intelligence, lightweight design, and clinical practicality of rehabilitation robots. Although domestic research started later, it has developed rapidly, gradually forming a multimodal technology system characterized by intelligent integration and precision rehabilitation. Future domestic and international research can complement and support each other. China contributes clinical big data and application scenarios, while foreign countries provide core technologies and innovative methods. Together, they promote breakthroughs and applications in post-stroke rehabilitation robot technology.
    Figures and Tables | References | Related Articles | Metrics
    Extracorporeal shock wave therapy: current research status, hotspots, and trends
    Zhang Jingyi, Zhi Liang, Yang Zeyu, Li Yaning, Hu Jia, Wang Jia, Wang Yulong, Long Jianjun
    2026, 30 (28):  7410-7417.  doi: 10.12307/2026.786
    Abstract ( 96 )   PDF (3116KB) ( 63 )   Save
    BACKGROUND: Extracorporeal shock wave therapy, as a non-invasive and non-invasive treatment technique, is widely used in various fields. Currently, there is no systematic analysis of the latest research status, hot topics, and development trends in this field. 
    OBJECTIVE: To analyze the research status, hotspots, and trends of extracorporeal shock wave therapy using bibliometric visualization software over the past 10 years. 
    METHODS: Relevant literature in the field of extracorporeal shock wave therapy was retrieved from the Web of Science core database from January 1, 2015 to December 31, 2024. CiteSpace was used for analyzing publication volume, collaborations among countries/regions, institutions, and authors, citation analysis of journals and co-cited literature. Additionally, keyword co-occurrence, clustering, and burst analyses were conducted, and visualized knowledge maps were generated. 
    RESULTS AND CONCLUSION: A total of 1 641 articles were included. The number of publications in the field of extracorporeal shock wave therapy is generally on the rise over the past 10 years. China, the United States, and Italy are the top three countries in terms of publication volume in this field. Chang Gung University, University of California, and Harvard University are the top three research institutions in terms of publication volume. A total of 280 journals have published articles related to extracorporeal shock wave therapy, with Clinical Orthopaedics and Related Research being the most cited journal and PLoS One being the most centrally relevant. The author with the highest publication volume is Wang, Ching-Jen from Chang Gung University. There is relatively little collaboration between authors with high publication volume and their research groups. The hot keywords in this field are double-blind, pain, erectile dysfunction, plantar fasciitis, and lateral epicondylitis of the humerus. The emerging keywords are rabbits, ischemia, myocardial infarction, fascial disease, muscle spasms, and erectile function. The research directions are diversified. Extracorporeal shock wave therapy is a non-invasive and safe treatment method. Pain management, musculoskeletal system diseases, and urinary system diseases have been research hotspots in the field of extracorporeal shock wave therapy in the past decade. The study of related mechanisms of action has been a focused research interest. Future research in this field may focus on the study of standard parameters for extracorporeal shock wave therapy and long-term efficacy verification.
    Figures and Tables | References | Related Articles | Metrics
    Bibliometric analysis of application of artificial intelligence in orthopedic imaging diagnosis
    Yue Yuhang, Xie Liangyu, Shi Liupeng, Yin Zuozhen, Cao Shengnan, Shi Bin, Sun Guodong
    2026, 30 (28):  7418-7427.  doi: 10.12307/2026.812
    Abstract ( 87 )   PDF (7395KB) ( 27 )   Save
    BACKGROUND: In the process of applying artificial intelligence to orthopedic imaging, the technical system exhibits a clear hierarchical structure: machine learning is the primary pathway to achieving artificial intelligence, while convolutional neural networks, a branch of deep learning, have become the core model for image analysis. Clarifying this technological lineage aids in systematically organizing the research evolution and trends in this field through bibliometric methods.
    OBJECTIVE: To conduct a comprehensive analysis of the current research landscape and developmental trends of artificial intelligence within the field of orthopedic imaging, utilizing bibliometric methodologies, providing ideas and methods for future research.
    METHODS: A systematic search was performed on the Web of Science Core Collection database using a combination of keywords: artificial intelligence, deep learning, convolutional neural network, orthopedic imaging. A total of 460 English-language publications from 2015 to 2025 were included in the analysis. Bibliometric tools, including CiteSpace 6.4.R1, VOSviewer1.6.20, and Bibliometrix R-package, were employed to perform a multi-dimensional visualization analysis. The analysis covered annual publication trends, geographc and institutional contributions, author collaboration networks, keyword co-occurrence, clustering patterns, and the evolution of burst terms.
    RESULTS AND CONCLUSION: (1) Over the past decade, the volume of scholarly output in this field has shown a consistent upward trajectory. (2) China and the USA emerged as the most prolific contributors in terms of publication count, while the USA demonstrated superior performance in citation impact and international collaborative engagement. Key academic institutions, including Sichuan University, the University of California, and Harvard University, formed a central collaborative network. (3) Research foci were primarily concentrated on areas such as bone age assessment, automated image segmentation, and the application of deep learning techniques in fracture detection and osteoarthritis diagnosis. Keywords such as bone age assessment, automated segmentation, and deep learning exhibited persistent bursts, reflecting the dynamic shifts in research emphasis over time. (4) The academic interest in artificial intelligence within orthopedic imaging continues to grow significantly. Emerging areas such as intelligent segmentation, disease classification, and multimodal data integration represent promising directions for future investigation. (5) This paper provides a systematic bibliometric overview of the field from a macro perspective, providing a reference for promoting the deep integration of artificial intelligence technology in orthopedic clinical practice. Through bibliometric analysis, a knowledge graph of research on the application of artificial intelligence in orthopedic imaging was constructed, systematically summarizing the current research status and hotspots in this field, aiming to provide reference and guidance for future related research.
    Figures and Tables | References | Related Articles | Metrics
    Oxidative stress and osteoporosis: a bibliometric analysis of literature from SCI core database
    Guo Jun, Lu Zheng, Yu Jinling, Hao Yuanyuan, Liu Kaishun, Liu Xuexia, Huang Yourong
    2026, 30 (28):  7428-7436.  doi: 10.12307/2026.817
    Abstract ( 66 )   PDF (5653KB) ( 41 )   Save
    BACKGROUND: Oxidative stress, representing an imbalance between oxidative and antioxidant systems in the body, plays a crucial role in the pathogenesis of osteoporosis. However, a systematic analysis of the current research status and trends in the field of oxidative stress and osteoporosis is lacking.
    OBJECTIVE: To analyze the current research status, hot topics, and trends in the field of oxidative stress and osteoporosis using bibliometric methods.
    METHODS: The Web of Science core database was searched using “oxidative stress” and “osteoporosis” as search terms, with the language limited to “English” and the document type limited to “article” and “review article.” The search period was from January 1, 1999 to December 31, 2024. After screening the literature according to the inclusion and exclusion criteria, CiteSpace (6.3.R1) and VOSviewer (1.6.20) software were used for data analysis and visualization of publication volume, country, institution, author, journal, and keywords.
    RESULTS AND CONCLUSION: (1) Publication volume analysis: A total of 2 558 articles were retrieved, with 2 416 articles included in the final analysis. From 1999 to 2024, the publication volume in the field of oxidative stress and osteoporosis exhibited a significant growth trend, particularly after 2011, reflecting the gradual deepening and increasing popularity of research in this field. (2) Country analysis: China ranked first with 1 088 publications, but the average citation per article was relatively low. USA ranked second with 353 publications, but the average citation per article was as high as 74.62, demonstrating its international influence in research quality. (3) Institution analysis: Chinese institutions dominated in publication volume, but the level of international collaboration needs improvement. Institutions such as Shanghai Jiao Tong University and Suzhou University exhibited extensive collaboration and high citation rates. (4) Author and co-citation analysis: A few core authors, such as Almeida and Manolagas, exerted significant influence in the field, with extremely high citation counts for their research outputs and diverse collaboration modes, primarily led by international authors. (5) Journal analysis: American journals, such as Journal of Bone and Mineral Research, occupied a central position in research on oxidative stress in osteoporosis, with notable academic authority and influence. (6) Keyword analysis: The research focus centered on the interaction mechanisms between “osteoporosis” and “oxidative stress.” High-frequency keywords included “reactive oxygen species,” “inflammation,” “osteoblasts,” and “osteoclasts.” Keyword cluster analysis revealed that research hotspots concentrated on inflammation, oxidative stress, and bone metabolism imbalance, population and clinical research, as well as the development and application of antioxidant therapies. (7) Research in the field of oxidative stress and osteoporosis is rapidly growing. Although China dominates in publication volume, its international influence needs enhancement. Future efforts should delve into the oxidative stress signaling network, explore cross-disease interactions, develop novel antioxidants and therapeutic approaches, promote the application of precision medicine and multi-omics technologies, and strengthen international collaboration and exchange, aiming to provide more scientific and effective solutions for the prevention and treatment of osteoporosis. 
    Figures and Tables | References | Related Articles | Metrics
    Association between plasma metabolites and osteoarthritis
    Li Yunpeng, Lyu Yuqiang, Zhang Jialin, Tang You, Wang Kai, Zhao Wenzhi
    2026, 30 (28):  7437-7446.  doi: 10.12307/2026.821
    Abstract ( 43 )   PDF (7109KB) ( 21 )   Save
    BACKGROUND: In recent years, metabolic disorders have been confirmed to be closely related to the onset of osteoarthritis, but the causal relationship between plasma metabolites and osteoarthritis has not been systematically elucidated. 
    OBJECTIVE: To explore the causal relationship between 1 400 plasma metabolites and 9 types of osteoarthritis using two-sample Mendelian randomization.
    METHODS: A genome-wide association study of 1 400 metabolites was used as the exposure. Nine types of arthritis, namely any-site osteoarthritis, early osteoarthritis, knee and/or hip osteoarthritis, knee osteoarthritis, hip osteoarthritis, spinal osteoarthritis, finger osteoarthritis, hand osteoarthritis, and thumb osteoarthritis, were set as the outcomes. Single nucleotide polymorphisms were used as instrumental variables, and sensitive single nucleotide polymorphisms were selected for Mendelian randomization analysis. The inverse variance weighted method was used as the main analysis approach. Meanwhile, four methods, namely MR-Egger, weighted median, simple mode, and weighted mode, were employed for cross-validation. Sensitivity and pleiotropy tests were conducted using MR-PRESSO and Cochran’s Q test, and the obtained data were further corrected using the false discovery rate method.
    RESULTS AND CONCLUSION: Mendelian randomization analysis showed that no false discovery rate (< 0.05) was found for finger osteoarthritis, hand osteoarthritis, hip osteoarthritis, or spinal osteoarthritis. Any-site osteoarthritis, early osteoarthritis, knee and/or hip osteoarthritis, knee osteoarthritis, and thumb osteoarthritis were significantly causally related to multiple metabolites. Glycine, serine, homostachydrine, and sulfate metabolites were all closely related to various types of osteoarthritis. Compared with some non-weight-bearing joint osteoarthritis (such as finger and hand osteoarthritis), plasma metabolites showed greater sensitivity to weight-bearing joint osteoarthritis (such as knee osteoarthritis and hip osteoarthritis). This study provides a theoretical basis for metabolic intervention strategies for osteoarthritis in Chinese population and a methodological paradigm for conducting mechanistic research on complex diseases in China.

    Figures and Tables | References | Related Articles | Metrics
    Screening biomarkers for premature ovarian insufficiency based on cellular senescence and endoplasmic reticulum stress with experimental validation
    Yan Yuge, Wang Yanxi, Qi Xiang, Cao Shan, Zou Xiaoyan, Liu Yujuan
    2026, 30 (28):  7447-7455.  doi: 10.12307/2026.830
    Abstract ( 93 )   PDF (77168KB) ( 16 )   Save
    BACKGROUND: Ovarian granulosa cell senescence and endoplasmic reticulum stress are closely related to the development and progression of premature ovarian insufficiency; however, the underlying regulatory mechanisms remain unelucidated. 
    OBJECTIVE: To identify potential biomarkers associated with cellular senescence and endoplasmic reticulum stress in granulosa cells in premature ovarian insufficiency using bioinformatic analysis and machine learning algorithms, with subsequent validation in animal experiments. 
    METHODS: The premature ovarian insufficiency dataset GSE201276 was downloaded from the GEO database. Differentially expressed genes were screened, and weighted gene co-expression network analysis was performed to identify module genes. Gene sets related to cellular senescence and endoplasmic reticulum stress were obtained from the GeneCards database and intersected with the differentially expressed genes and module genes. Consensus clustering analysis was then conducted to identify subtype-specific differentially expressed genes, followed by Gene Ontology and Kyoto Encyclopedia of Genes and Genomes enrichment analyses and immune infiltration analysis. Two machine learning algorithms were applied to screen for key genes associated with granulosa cell senescence and endoplasmic reticulum stress in premature ovarian insufficiency. A diagnostic model was constructed and validated. Finally, a C57BL/6J mouse model of premature ovarian insufficiency was established. The model was evaluated by estrous cycle monitoring, hematoxylin-eosin staining, and serum ELISA. The expression of key genes was further verified using quantitative real-time PCR and western blot assay.
    RESULTS AND CONCLUSION: (1) Consensus clustering analysis identified 911 subtype-specific differentially expressed genes associated with cellular senescence and endoplasmic reticulum stress. Gene Ontology enrichment analysis indicated that these differentially expressed genes were primarily involved in biological processes such as negative regulation of the cell cycle, meiosis, and female gonad development. Kyoto Encyclopedia of Genes and Genomes pathway analysis revealed significant associations with oocyte meiosis, progesterone-mediated oocyte maturation, and the transforming growth factor-β signaling pathway. Immune infiltration analysis demonstrated significantly elevated levels of M1 macrophages and resting dendritic cells in the premature ovarian insufficiency group (P < 0.05). (2) Four key genes were screened using machine learning algorithms. Diagnostic model and calibration curve results indicated that aurora kinase A and actin-binding protein exhibited strong predictive performance. (3) Animal experiments showed that compared with the blank group, the model mouses exhibited disrupted estrous cycles, a decreased number in primary, secondary, and antral follicles, and an increased number of atretic follicles (P < 0.01). Serum follicle-stimulating hormone levels were significantly elevated, while anti-Müllerian hormone levels were markedly reduced, with significant differences (P < 0.01). Compared with the blank group, both mRNA and protein expression levels of aurora kinase A and actin-binding protein were significantly downregulated in the ovarian tissues of the model group, with significant differences (P < 0.05). (4) These findings suggest that aurora kinase A and actin-binding protein may contribute to the pathogenesis of premature ovarian insufficiency by regulating granulosa cell senescence and endoplasmic reticulum stress. Their specific regulatory roles and molecular mechanisms merit further experimental investigation. 

    Figures and Tables | References | Related Articles | Metrics
    Research context and trend of TANK binding kinase 1 in autoimmunity and tumor prevention and treatment
    Xu Canli, He Wenxing, Wang Yuping, Ba Yinying, Chi Li, Wang Wenjuan, Wang Jiajia
    2026, 30 (28):  7456-7464.  doi: 10.12307/2026.650
    Abstract ( 50 )   PDF (25286KB) ( 13 )   Save
    BACKGROUND: The research results on TANK binding kinase 1, a bi-directional tumor regulator, have been increasing yearly, but there is no bibliometric literature to analyze the information in the literature related to TANK binding kinase 1.
    OBJECTIVE: To explore the research status, hot spots, and trends of TANK binding kinase 1 based on bibliometric analysis. 
    METHODS: We collected literature related to TANK binding kinase 1 in the last 10 years based on the SCIE database in the Web of Science Core Collection. The data were imported into CiteSpace 6.3.R1 and analyzed bibliometrically and visually with five options: country, author, institution, reference, and keyword. In addition, Origin 2021 was used to plot the relevant statistical graphs. 
    RESULTS AND CONCLUSION: There was an upward trend in the number of publications and co-citations involved in TANK binding kinase 1 research. Dan-Dan Chen, Jian-Fang Gui, Qiwei Qin, and Shun Li were the four authors with the highest number of publications (n=11), while the Chinese Academy of Sciences, University of Chinese Academy of Sciences, Zhejiang University, Chinese Academy of Agricultural Sciences, and Wuhan University had a larger number of publications (> 50). The research hot spots of TANK binding kinase 1 in the last decade mainly focus on innate immunity, the cyclic gmp-amp synthase-stimulator of interferon genes pathway, nuclear factor-κB, inflammation, optineurin, expression, cancer, etc. In recent years, academics from various countries have conducted sustained and in-depth research in related fields. TANK binding kinase 1 shows great potential for research in the autoimmune system, signaling pathways, gene expression, tumor control, and so on. But academic cooperation between academics and between institutions is not strong. In the future, cooperation and communication should be strengthened to grasp the research hot spots and trends of TANK binding kinase 1, to expand its research range in disease areas, and to provide more evidence for further elucidating the pharmacodynamic mechanisms and pathological changes of diseases.

    Figures and Tables | References | Related Articles | Metrics
    Pathogenesis and potential therapeutic targets of idiopathic pulmonary fibrosis: analysis of data from a large-scale genome-wide association study
    Fan Zhiliang, Chai Yihui, Chen Guanglei, Li Qian, Gu Chunsong, Chen Yunzhi, Li Wen, Wu Damei, Pu Xiang
    2026, 30 (28):  7465-7474.  doi: 10.12307/2026.815
    Abstract ( 55 )   PDF (21632KB) ( 25 )   Save
    BACKGROUND: The gut–lung axis has emerged as a critical factor in the development of various pulmonary diseases. However, its role in idiopathic pulmonary fibrosis remains insufficiently investigated, and the underlying causal relationships are yet to be clarified. This study integrates genome-wide association studies, expression quantitative trait loci analysis, and colocalization-based molecular docking to comprehensively assess how gut microbiota may influence idiopathic pulmonary fibrosis through immune regulation, inflammatory mediators, and metabolic pathways. The research aims to provide mechanistic insights from genetic, transcriptional, and pharmacological perspectives.
    OBJECTIVE: To explore the causal relationship between gut microbiota and idiopathic pulmonary fibrosis, to elucidate the mediating effects of immune cells, inflammatory proteins, and circulating metabolites, to screen key microbial taxa and potential target genes, and to predict candidate therapeutic agents that may contribute to early diagnosis and drug development for idiopathic pulmonary fibrosis.
    METHODS: The analysis was based on publicly available summary statistics from genome-wide association studies involving 473 gut microbial species, sourced from the Finnish biobank and the expression Quantitative Trait Loci Gen consortium. Additional data included 731 immune cell traits, 91 inflammatory proteins, 233 blood metabolites, and idiopathic pulmonary fibrosis genome-wide association results. Univariable Mendelian randomization using the inverse-variance weighted approach and sensitivity analyses were performed to explore the causal relationship between gut microbiota and idiopathic pulmonary fibrosis. Two-step mediation Mendelian randomization was conducted to determine whether immune and inflammatory factors mediate the relationship between gut microbiota and idiopathic pulmonary fibrosis. Furthermore, causal relationships between microbial taxa and gene expression were evaluated using Mendelian randomization and summary-data-based Mendelian randomization methods. Colocalization and druggability analyses were carried out to prioritize candidate compounds, followed by molecular docking validation. 
    RESULTS AND CONCLUSION: The abundance of Bacteroides faecis, Megasphaera, and Pandoraea was causally associated with idiopathic pulmonary fibrosis. Bacteroides faecis appeared to mediate disease risk through the linoleic acid (18:2) ratio and several CD4-positive T cell subsets. Pandoraea risk was similarly influenced by different CD4+ T cell subsets, whereas Megasphaera may exert protective effects via interleukin-33, low-density lipoprotein-related metabolites, and CD4-CD8- T cell subsets. Further analyses identified GNF-Pf-2272, compound 5155877, and protoporphyrin IX as candidate agents targeting lysine-specific demethylase 4C, carbonyl reductase 3, and 14-3-3 protein gamma isoform, respectively. Although the genome-wide association study data for pulmonary fibrosis used in this study were primarily derived from European populations, given the commonalities in multiple core pathways across the human genetic background, the findings still hold significant reference value for exploring ways to improve the risk of pulmonary fibrosis in the Chinese population by regulating the gut microbiota.
    Figures and Tables | References | Related Articles | Metrics
    Meta-analysis of robot-assisted walking training on lower limb motor function improvement in Parkinson's disease patients#br#
    Ren Yi, Wang Qing, Yu Shaohong, Qiu Zhengang
    2026, 30 (28):  7475-7484.  doi: 10.12307/2026.818
    Abstract ( 63 )   PDF (2384KB) ( 29 )   Save
    OBJECTIVE: Studies have confirmed that robot-assisted walking training can effectively improve motor function in patients with neurological diseases such as stroke, spinal cord injury, and multiple sclerosis. Currently, different robot-assisted gait training devices differ in design and function, but their impact on Parkinson’s disease patients remains unclear. Different robots can provide different motion parameters, motion frequencies, and training modes, but related research is scarce. Therefore, this article systematically evaluates the impact of robot-assisted walking training on lower limb motor function in Parkinson’s disease patients.
    METHODS: Randomized controlled trials addressing the impact of robot-assisted walking training on lower limb motor function in patients with Parkinson’s disease were retrieved from English databases (PubMed, Web of Science, Embase, Cochrane Library) and Chinese databases (CNKI, WanFang, and VIP) by computer. The retrieval time limit was from the establishment of each database to April 20, 2025. The methodological quality of the included studies was evaluated according to the Cochrane Risk of Bias Assessment Tool. Meta-analysis was performed using RevMan 5.3 software.
    RESULTS: (1) A total of 12 articles involving 526 patients with Parkinson’s disease were included. (2) Meta-analysis results showed that compared with the control group, robot-assisted walking training was superior to the control group in the improvement of Berg scale score [MD=4.08, 95%CI(2.59, 5.58), P < 0.000 01], Activities-specific Balance Confidence Scale [MD=4.31, 95%CI(2.97-5.83), P < 0.000 01], 6-minute walk test distance [MD=32.62, 95%CI(13.41, 51.83), P = 0.000 9], Timed Up and Go test time [MD=-1.88, 95%CI(-2.58, -1.18), P < 0.000 01], cadence(MD=2.98, 95%CI(0.67, 5.29), P=0.01], stride length (MD=9.11, 95%CI(7.06, 11.15), P < 0.000 01], walking speed (MD=0.04, 95%CI(0.02, 0.06), P=0.000 1], Unified Parkinson’s Disease Rating Scale Part II score (MD=-2.05, 95%CI(-2.55, -1.55), P < 0.000 01], and Unified Parkinson’s Disease Rating Scale Part III score (MD=-3.73, 95%CI(-4.17, -3.29), P < 0.000 01].
    CONCLUSION: Robot-assisted walking training can effectively improve the lower limb motor function of patients with Parkinson’s disease. Specifically, it enhances balance function and walking ability, and improves gait parameters. Notably, an intervention period of 8 weeks or longer shows a more significant improvement in walking endurance (measured by the 6-Minute Walk Test) and dynamic balance (measured by the Timed Up and Go Test), with an average increase of 0.04 m/s in walking speed and 9.11 cm in step length. However, further verification through large-sample, high-quality randomized controlled trials is still required.
    Figures and Tables | References | Related Articles | Metrics
    A network meta-analysis of effects of non-invasive neuromodulation techniques on language function in patients with aphasia after stroke
    Li Sihui, Wang Qin, Cui Shenhong, Cheng Xiaofei, Feng Ziyun, Wang Dehua, Liang Chunting, Leng Jun
    2026, 30 (28):  7485-7493.  doi: 10.12307/2026.820
    Abstract ( 64 )   PDF (4132KB) ( 423 )   Save
    OBJECTIVE: Many studies have shown that non-invasive neuromodulation techniques can effectively improve the symptoms of non-fluent aphasia after stroke. However, the optimal stimulation protocols for these techniques still need to be further verified and explored. This article used a network meta-analysis method to systematically evaluate the effects of different non-invasive neuromodulation techniques on improving the language function of patients with non-fluent aphasia after stroke.
    METHODS: The CNKI, WanFang, VIP, CBM, PubMed, Cochrane Library, Embase, and Web of Science databases were searched for randomized controlled trials on the treatment of non-fluent aphasia after stroke with non-invasive neural modulation techniques, with the search ending on June 1, 2025. The control group received conventional treatment or sham stimulation, while the trial group received non-invasive neural modulation techniques in addition to the control group’s treatment. The outcome indicators were the western aphasia battery, aphasia battery of Chinese, and activity of daily living scale. The outcome measures were analyzed using both traditional meta-analysis and network meta-analysis with Stata 17.0 software, respectively. The GRADE methodology was employed to evaluate the quality of evidence pertaining to the outcome measures.
    RESULTS: A total of 33 randomized controlled trials were included, involving 10 types of non-invasive neuromodulation techniques. (1) Traditional meta-analysis results showed that, low-frequency repetitive transcranial magnetic stimulation of the right Broca’s area, transcranial direct current stimulation of both Broca’s area, and transcranial direct current stimulation of the left Broca’s area improved patients’ scores on the western aphasia battery (P < 0.001). Low-frequency repetitive transcranial magnetic stimulation of the right Broca’s area, low-frequency repetitive transcranial magnetic stimulation of the posterior superior temporal gyrus, and low-frequency repetitive transcranial magnetic stimulation of the right Broca’s area combined with high-frequency repetitive transcranial magnetic stimulation of the left Broca’s area improved patients’ scores on aphasia battery of Chinese (P < 0.05). Low-frequency repetitive transcranial magnetic stimulation of the right Broca’s area, transcranial direct current stimulation of both Broca’s areas, continuous theta burst stimulation of the right Broca’s area combined with intermittent theta burst stimulation of the left Broca’s area, high-frequency repetitive transcranial magnetic stimulation of the right Broca’s area, and low-frequency repetitive transcranial magnetic stimulation of the right Broca’s area combined with high-frequency stimulation of the left Broca’s area all improved patients’ scores on the activity of daily living scale (P < 0.05). (2) The network meta-analysis results showed that low-frequency repetitive transcranial magnetic stimulation of the right Broca’s area was more effective in improving the scores of the western aphasia battery and aphasia battery of Chinese [SMD=1.13, 95%CI(0.59, 1.67), P < 0.05; SMD=4.73, 95%CI(1.28, 8.18), P < 0.05], while transcranial direct current stimulation of the bilateral Broca’s areas was more effective in improving the scores of the activity of daily living scale [SMD=1.81, 95%CI(0.51, 2.12), P < 0.05]. (3) The GRADE evidence level assessment results showed that the evidence levels for the western aphasia battery, aphasia battery of Chinese, and activity of daily living scale were all low. 
    CONCLUSION: Different non-invasive neuromodulation techniques can improve speech function in patients with non-fluent aphasia after stroke. Low-frequency repetitive transcranial magnetic stimulation of the right Broca’s area is significantly effective in improving multidimensional speech function, especially in spontaneous speech coherence, auditory comprehension accuracy, and naming fluency. Bilateral transcranial direct current stimulation of the Broca’s area focuses more on improving patients’ daily communication ability. However, the results are affected by the number and quality of included studies, and the level of evidence is low. More high-quality studies are needed to further verify these findings.
    Figures and Tables | References | Related Articles | Metrics
    A systematic review and network meta-analysis of neuromodulation techniques for promoting upper limb motor function after stroke
    Fan Mengmeng, Ding Jiali, Wan Yujie, Huang Hailiang
    2026, 30 (28):  7494-7504.  doi: 10.12307/2026.831
    Abstract ( 76 )   PDF (9363KB) ( 29 )   Save
    OBJECTIVE: This study aimed to systematically compare the efficacy and safety of various neuromodulation techniques for upper limb motor function recovery after stroke, and to rank the relative advantages of different interventions through a network meta-analysis, thereby providing evidence-based guidance for clinical rehabilitation.
    METHODS: A comprehensive literature search was conducted in CNKI, WanFang, VIP, CBM, PubMed, EMbase, Web of Science, and Cochrane Library from inception to August 2025. Randomized controlled trials investigating different neuromodulation techniques for post-stroke upper limb motor impairment were included. Control group received sham stimulation or conventional rehabilitation, while trial group received additional neuromodulation therapies. The methodological quality of included studies was assessed using the Cochrane Risk of Bias Tool. Network meta-analyses were performed using Stata 16.0 and RevMan 5.4 software.
    RESULTS: A total of 51 randomized controlled trials were included, covering 12 neuromodulation modalities. Network meta-analysis demonstrated that, compared with conventional rehabilitation, high-frequency repetitive transcranial magnetic stimulation yielded the greatest improvement in basic motor function recovery in the upper limb (MD=11.50, 95%CI: 6.83–16.16, P < 0.05). For upper limb functional utility and dexterity, continuous theta burst stimulation showed the most favorable effects (MD=12.10, 95%CI: 44.99–19.21, P < 0.05; MD=9.60, 95%CI: 1.32–17.88, P < 0.05). For daily living ability and spasticity, cathode transcranial direct current stimulation achieved the best outcomes (MD=15.40, 95%CI: 0.03–30.77, P < 0.05; MD=–0.83, 95%CI: –1.64 to –0.03, P < 0.05).
    CONCLUSION: High-frequency repetitive transcranial magnetic stimulation is most effective for promoting basic motor recovery in the upper limb. Continuous theta-burst stimulation provides superior benefits for enhancing functional utility and dexterity of the upper limb. Cathodal transcranial direct current stimulation is most effective for improving daily living ability and alleviating spasticity.



    Figures and Tables | References | Related Articles | Metrics