Chinese Journal of Tissue Engineering Research ›› 2026, Vol. 30 ›› Issue (28): 7297-7306.doi: 10.12307/2026.805
Previous Articles Next Articles
Peng Shijing, Jiang Tong, Zhao Wenjie, Wang Hui, Yang Wenqing, Kan Dongfang
Received:2025-09-25
Revised:2025-12-17
Online:2026-10-08
Published:2026-02-10
Contact:
Kan Dongfang, PhD, Professor, Master’s supervisor, Shandong University of Traditional Chinese Medicine, Jinan 250355, Shandong Province, China
Co-corresponding author: Yang Wenqing, PhD, Professor, Master’s supervisor, Shandong University of Traditional Chinese Medicine, Jinan 250355, Shandong Province, China
About author:Peng Shijing, MS candidate, Shandong University of Traditional Chinese Medicine, Jinan 250355, Shandong Province, China
Supported by:CLC Number:
Peng Shijing, Jiang Tong, Zhao Wenjie, Wang Hui, Yang Wenqing, Kan Dongfang. Transcriptomic analysis of potential targets of protocatechualdehyde in treatment of atherosclerosis[J]. Chinese Journal of Tissue Engineering Research, 2026, 30(28): 7297-7306.
Add to citation manager EndNote|Reference Manager|ProCite|BibTeX|RefWorks
2.1 原儿茶醛拮抗动脉粥样硬化的进展 2.1.1 实验动物数量分析 对照组(n=7)、模型组(n=7)、瑞舒伐他汀组(n=7)、原儿茶醛组(n=7)小鼠全部进入结果分析。 2.1.2 原儿茶醛调节ApoE-/-小鼠血脂代谢 与对照组相比,模型组小鼠血清中总胆固醇、甘油三酯、高密度脂蛋白胆固醇及低密度脂蛋白胆固醇水平均明显升高(P < 0.001);与模型组相比,瑞舒伐他汀组及原儿茶醛组小鼠血清中总胆固醇、甘油三酯、高密度脂蛋白胆固醇及低密度脂蛋白胆固醇水平均显著降低,差异有统计学意义(P < 0.001),见图2。 2.1.3 原儿茶醛抑制脂质沉积 主动脉大体油红O染色显示,模型组相较于对照组脂质沉积水平显著升高,红染斑块明显增大;与模型组相比,原儿茶醛组和瑞舒伐他汀组脂质沉积均表现出减轻趋势,并且红染斑块面积亦呈现显著减少趋势,见图3。 2.1.4 原儿茶醛增加斑块稳定性 苏木精-伊红染色(图4A):对照组主动脉结构完整,内皮层平滑连续,中膜平滑肌细胞排列规则,未观察到内膜增厚迹象,未见粥样硬化斑块。模型组主动脉呈现典型的动脉粥样硬化病理改变,可见显著的内膜弥漫性增厚,导致管腔面积明显狭窄,管腔内可见突出的粥样硬化斑块形成。与模型组对比,瑞舒伐他汀组和原儿茶醛组主动脉均显示出一定的治疗性形态学改善,管腔狭窄程度得到减轻,管腔面积相对增大,斑块体积呈减少趋势。 Masson染色(图4B):模型组主动脉根部斑块内部和纤维帽区域可见大量蓝色的胶原纤维沉积,斑块体积较大,斑块内部核心区域红色面积增多,蓝色纤维帽相对较薄甚至不完整;"
空间邻近性,它们彼此之间的距离显著小于与其他组样本的距离,显示出良好的组内重复性。类似地,在模型组中,样本1、样本2和样本4在主成分得分图上紧密聚集,它们在多维空间中的位置非常接近,表明这些样本在反映模型状态的生物学特征或测量指标上具有高度相似性。 原儿茶醛组4个样本(样本1、样本2、样本3、样本4)在主成分维度上的分布均呈现明显聚集趋势,它们相互之间的距离相对较小,紧密地分布在特定的区域内,提示该处理组内部的生物学响应或数据模式具有较好的可重复性。同时也识别出2个显著的离群样本:对照组样本1和模型组样本3,这2个样本点在其所属组的主成分空间分布中明显偏离了其组内其他样本的核心聚集区域,离群点的存在对整体数据结构的解释和组间比较造成了干扰,影响了评估组内数据重复性的准确性。为了更准确地评估各组内部数据的固有变异性和重复性水平,将上述2个离群样本(对照组样本1和模型组样本3)从数据集中剔除。 2.3 共表达差异基因筛选结果 采用DESeq2对基因表达数据进行差异分析。首先,针对对照组与模型组进行比较,通过基于负二项分布的统计模型对原始计数数据进行标准化处理,评估基因表达的显著性变化,分析结果通过火山图直观呈现,以对数倍变化(log2FoldChange)为横轴,统计显著性[-log10(q value)]为纵轴,清晰展示了差异表达基因的分布情况,共鉴定出3 841个具有统计学意义的差异表达基因,见图6A。对模型组与原儿茶醛组之间的数据集执行了相同的DESeq2分析流程和标准化步骤,以探究药物治疗的潜在效应,同样利用火山图可视化分析结果,在该比较组中识别出1 249个显著的差异表达基因,见图6B。为了深入挖掘两组差异分析结果间的关联性并识别关键的"
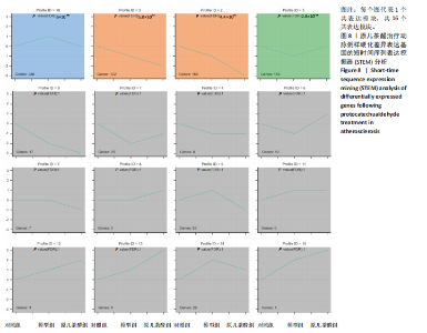
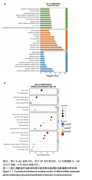
动的上皮纤毛运动、纤毛运动、精子轴丝组装和纤毛搏动频率调控等,表明动脉粥样硬化可能涉及纤毛功能障碍,影响细胞运动和体液循环,而角化和肽酶活性负调控等可能与血管炎症或组织修复相关。在细胞组分方面,富集到细胞外区域、角化包膜和细胞外空间等;在分子功能方面,丝氨酸型内肽酶抑制剂活性和半胱氨酸型内肽酶抑制剂活性等表明蛋白酶抑制机制可能被激活以对抗组织降解,微管运动活性和钙离子结合则提示细胞骨架运动和信号转导的参与,这些特征共同指向动脉粥样硬化中细胞保护、结构维持和炎症调控的复杂相互作用。同时KEGG富集分析概括了多个关键通路,包括血管平滑肌收缩、运动蛋白、花生四烯酸代谢和环磷酸鸟苷/依赖性蛋白激酶G信号通路等,这些通路涉及血管张力调节、脂质代谢炎症反应以及细胞增殖与凋亡等,并且与药物代谢和瞬时受体电位通道炎症递质调控相关,表明动脉粥样硬化的发生发展与血管功能失调、代谢紊乱和免疫炎症过程密切相关,而治疗组可能通过干预这些通路恢复稳态。GO和KEGG富集分析结果共同揭示了动脉粥样硬化小鼠主动脉中纤毛功能、细胞外基质重塑、酶活性调控以及血管相关信号通路的显著变化。 2.5 筛选符合趋势的差异表达基因 此次研究旨在系统解析基因表达谱在从健康状态进展至动脉粥样硬化以及药物治疗干预过程中的变化规律,为此设计并执行了基于样本分组序列依次为“对照组”“模型组”“原儿茶醛组”的趋势分析,以捕捉疾病发生发展及药物响应的潜在分子轨迹,分析中识别出总计9种不同的全局基因表达变化趋势模式,为确保后续分析聚焦于具有统计学意义的差异表达基因,所有原始数据首先通过数学模型进行预处理,滤除了表达变化不显著的数据。通过数学建模,将筛选后保留的数据聚类划分为16个共表达模块(图8),每个模块代表一组具有相似表达动态模式的基因集合。模块显著性评估采用了错误发现率方法对P值进行校正,设定显著性阈值为校正后P < 0.05,最终鉴定出4个具有统计学显著性的共表达模块,这些显著模块的表达趋势模式通过趋势图进行可视化展示,在显著模块中,Profile=10 模块展现出最高的显著性水平。深入挖掘该模块提取出包含 288个核心基因的集合,这288个源于趋势分析的核心基因被选定作为后续深入功能探索。 2.6 通过加权基因共表达网络分析构建共表达模块 原始数据共计28 327个基因(10个样本),经表达波动筛选(标准偏差< 0.5)获得3 656个高变异基因,见图9A。通过无标度拓扑拟合分析(power=1-30)评估邻接矩阵参数,确定power=30时达到最优网络特性(Scale-free R2=0.64,拟合曲线斜率=-0.66),见图9B。构建加权相关矩阵(β=30)后,最终将3 656个基因划分为13个模块,"
其中grey模块为不能归属到任意模块的基因集合,darkgrey和brown模块与动脉粥样硬化显著正相关,见图9C,因此选用darkgrey模块798个基因及brown模块的300个基因用于后续研究。将WGCNA分析获得的2个显著模块中的1 098个基因与STEM趋势分析中的288个基因取交集后得到191个差异表达基因,191个基因用于后续核心的筛选,见图9D。 2.7 最终核心靶基因的筛选与验证结果 针对筛选获得的191个基因,导入String在线数据库,通过Cytoscape将蛋白质互作网络可视化后,MCODE核心模块筛选后选取得分为12.03和8.25 2个模块,包括Cnfn(角化上皮蛋白)、Kprp(角质形成细胞富含脯氨酸蛋白)、Sprr2a3(小脯氨酸富蛋白 2A3)、Hrnr(丝聚蛋白2)、Calm4(钙调蛋白假基因4)、Lor( 兜甲蛋白)等34个基因(图10A)。同时191个基因可视化后通过cytoHubba插件,选取插件中的MCC、MNC、Degree、Stress、Closeness、Radiality 6种算法分别取排名前10的基因,对6种算法得到的基因取交集后得到Kprp、Calm4、Hrnr、Lor共4个基因(图10B)。Kprp、Calm4、Hrnr、Lor基因同时存在于MCODE的2个模块,因此对最后得到的4个基因进行验证。"
为确认前期转录组测序分析结果的可靠性,选取了Calm4、Kprp、Hrnr 和 Lor 4个候选基因,利用 RT-PCR技术在 mRNA 水平上独立验证它们在“正常组”“模型组”“原儿茶醛组”序列中的表达动态,结果显示,模型组Kprp、Calm4、Hrnr和Lor mRNA表达高于对照组(P < 0.05,P < 0.001),原儿茶醛组Kprp、Calm4和Lor mRNA表达低于模型组(P < 0.01,P < 0.001),Calm4、Kprp和Lor mRNA表达变化趋势与先前转录组测序所揭示的趋势一致,尽管 Hrnr 基因在 RT-PCR检测中表达变化模式在方向上与测序数据呈现的趋势相似,但其3次独立生物学重复实验结果未能达到统计学显著性标准,见图10C。基于以上实验验证和统计分析,Hrnr基因因缺乏统计学支持而被排除,最终成功确认并筛选出 Calm4、Kprp和Lor 这3个基因为原儿茶醛治疗动脉粥样硬化的候选靶基因。"
| [1] RIDKER PM, MOORTHY MV, COOK NR, et al. Inflammation, Cholesterol, Lipoprotein(a), and 30-Year Cardiovascular Outcomes in Women. N Engl J Med. 2024;391(22):2087-2097. [2] HUANG Q, JIANG Z, SHI B, et al. Characterisation of Cardiovascular Disease (CVD) Incidence and Machine Learning Risk Prediction in Middle-aged and Elderly Populations: Data from the China Health and Retirement Longitudinal Study (CHARLS). BMC Public Health. 2025;25(1):1-12. [3] CHEN J, YAN L, HU L, et al. Association Between the Serum Creatinine to Cystatin C Ratio and Cardiovascular Disease in Middle‐Aged and Older Adults in China: A Nationwide Cohort Study. J Am Heart Assoc. 2025;14(9):e040050. [4] 刘明波,何新叶,杨晓红,等.《中国心血管健康与疾病报告2023》要点解读[J].中国全科医学,2025,28(1):20-38. [5] SUN Y, ZHU D, KONG L, et al. Vasicine Attenuates Atherosclerosis Via Lipid Regulation, Inflammation Inhibition, and Autophagy Activation in ApoE-/-Mice. Int Immunopharmacol. 2024;142(Pt A):112996. [6] LIN A, MIANO JM, FISHER EA, et al. Chronic Inflammation and Vascular Cell Plasticity in Atherosclerosis. Nat Cardiovasc Res. 2024;3(12):1408-1423. [7] NAKAI M, IWANAGA Y, SUMITA Y, et al. Associations Among Cardiovascular and Cerebrovascular Diseases: Analysis of the Nationwide Claims-based JROAD-DPC dataset. PLoS One. 2022;17(3):e0264390. [8] KONG P, CUI Y, HUANG XF, et al. Inflammation and Atherosclerosis: Signaling Pathways and Therapeutic Intervention. Signal Transduct Target Ther. 2022; 7(1):131. [9] LIBBY P, BURING JE, BADIMON L, et al. Atherosclerosis. Nat Rev Dis Primers. 2019;5(1):56. [10] SIRTORI CR. The Pharmacology of Statins. Pharmacol Res. 2014;88(9):3-11. [11] WARD NC, WATTS GF, ECKEL RH. Response by Ward et al to Letter Regarding Article, “Statin Toxicity: Mechanistic Insights and Clinical Implications”. Circ Res. 2019;124(12):e121-e122. [12] ATTARDO S, MUSUMECI O, VELARDO D, et al. Statins Neuromuscular Adverse Effects. Int J Mol Sci. 2022;23(15):8364. [13] LI ZM, XU SW, LIU PQ. Salvia miltiorrhizaBurge (Danshen): A Golden Herbal Medicine in Cardiovascular Therapeutics. Acta Pharmacol Sin. 2018;39(5):802-824. [14] MA X, ZHANG L, GAO F, et al. Salvia miltiorrhiza and Tanshinone IIA reduce endothelial inflammation and atherosclerotic plaque formation through inhibiting COX-2. Biomed Pharmacother. 2023;167:14. [15] 毛美玲,谢丽钰,罗文宽,等.丹参及其有效成分对心血管系统的药理机制研究进展[J].中华中医药学刊,2024,42(7):120-124. [16] ANWAR S, KHAN S, ALMATROUDI A, et al. A Review on Mechanism of Inhibition of Advanced Glycation end Products Formation by Plant Derived Polyphenolic Compounds. Mol Biol Rep. 2021;48(2):1-19. [17] WANG J, XU J, GONG X, et al. Biosynthesis, Chemistry, and Pharmacology of Polyphenols from Chinese Salvia Species: A Review. Molecules. 2019;24(1):155. [18] ZHANG L, LI Y, YANG W, et al. Protocatechuic Aldehyde increases Pericyte Coverage and Mitigates Pericyte Damage to Enhance the Atherosclerotic Plaque Stability. Biomed Pharmacother. 2023;168:115742. [19] XING YL, ZHOU Z, AGULA, et al. Protocatechuic Aldehyde Inhibits Lipopolysaccharide‐Induced Human Umbilical Vein Endothelial Cell Apoptosis Via Regulation of Caspase-3. Phytother Res. 2012;26(9):1334-1341. [20] MOON CY, KU CR, CHO YH, et al. Protocatechuic Aldehyde Inhibits Migration And Proliferation of Vascular Smooth Muscle Cells and Intravascular Thrombosis. Biochem Biophys Res Commun. 2012;423(1):116-121. [21] LIU D, SONG Y, SONG T, et al. RRP Regulates Autophagy through the AMPK Pathway to Alleviate the Effect of Cell Senescence on Atherosclerosis. Oxid Med Cell Longev. 2023;2023:22. [22] CUI X, ZHANG L, LIN L, et al. Notoginsenoside R1-Protocatechuic Aldehyde Reduces Vascular Inflammation and Calcification through Increasing the Release of Nitric Oxide to Inhibit TGF(3R1-YAP/TAZ Pathway in Vascular Smooth Muscle Cells. Int Immunopharmacol. 2024;143(Pt 3):113574. [23] WEBER C, NOELS H. Atherosclerosis: Current Pathogenesis and Therapeutic Options. Nat Med. 2011;17(11):1410-1422. [24] ZHANG Y, GU Y, CHEN Y, et al. Dingxin Recipe IV Attenuates Atherosclerosis by Regulating Lipid Metabolism through LXR-α/SREBP1 Pathway and Modulating the Gut Microbiota in ApoE -/- Mice Fed with HFD. J Ethnopharmacol. 2021; 266:113436. [25] LI Y, ZHANG L, REN P, et al. Qing-Xue-Xiao-Zhi Formula Attenuates Atherosclerosis by Inhibiting Macrophage Lipid Accumulation and Inflammatory Response Via TLR4/MyD88/NF-κB Pathway Regulation. Phytomedicine. 2021;93:153812. [26] LI Z, CHENG JM, PENG HX, et al. Sini Decoction Inhibits TLR4/NF-κB Signaling Pathway to Improve Airway Remodeling of Allergic Asthmatic Mice. Zhongguo Zhong Yao Za Zhi. 2022;47(22):6191-6198. [27] HE L, CHEN Q, WANG L, et al. Activation of Nrf2 Inhibits Atherosclerosis in ApoE−/− Mice through Suppressing Endothelial Cell Inflammation and Lipid Peroxidation. Redox Biol. 2024;74:103229. [28] WANG Y, OHISHI H, WU R, et al. Prophylactic and Therapeutic Effects of EsV3 on Atherosclerotic Lesions in ApoE−/− Mice. BMC Cardiovasc Disord. 2025;25(1):54. [29] PAN X, XU H, DING Z, et al. Guizhitongluo Tablet Inhibits Atherosclerosis and Foam Cell Formation through Regulating Piezo1/NLRP3 Mediated Macrophage Pyroptosis. Phytomedicine. 2024;132:155827. [30] 张翠英,郭丽丽,王阶.原儿茶醛的药理研究进展[J].中国实验方剂学杂志, 2013,19(23):338-342. [31] MATSUNO A, SUMIDA H, NAKANISHI H, et al. Keratinocyte Proline-rich Protein Modulates Immune and Epidermal Response in Imiquimod-induced Psoriatic Skin Inflammation. Exp Dermatol. 2023;32(12):2121-2130. [32] JEON S, KIM SH, SHIN SY, et al. Clozapine Reduces Toll-like Receptor 4/NF-κB-mediated Inflammatory Responses through Inhibition of Calcium/Calmodulin-dependent Akt Activation in Microglia. Prog Neuropsychopharmacol Biol Psychiatry. 2018;81:477-487. [33] WANG X, CHEANG WS, YANG H, et al. Nuciferine Relaxes Rat Mesenteric Arteries through Endothelium‐Dependent and ‐Independent Mechanisms. Br J Pharmacol. 2016;172(23):5609-5618. [34] KIM BE, LEUNG DYM, BOGUNIEWICZ M, et al. Loricrin and Involucrin Expression is Down-regulated by Th2 Cytokines through STAT-6. Clin Immunol. 2008;126(3):332-337. [35] KAWACHI Y, ISHITSUKA Y, MARUYAMA H, et al. GATA-3 Regulates Differentiation-specific Loricrin Gene Expression in Keratinocytes. Exp Dermatol. 2012;21(11): 859-864. |
| [1] | Chen Yulin, He Yingying, Hu Kai, Chen Zhifan, Nie Sha Meng Yanhui, Li Runzhen, Zhang Xiaoduo , Li Yuxi, Tang Yaoping. Effect and mechanism of exosome-like vesicles derived from Trichosanthes kirilowii Maxim. in preventing and treating atherosclerosis [J]. Chinese Journal of Tissue Engineering Research, 2026, 30(7): 1768-1781. |
| [2] | Wang Zhenze, Liu Fende, Zhang Rui, Li Wujun. Mesenchymal stem cells in treatment of arteriosclerosis obliterans of lower extremities: systematic review and meta-analysis [J]. Chinese Journal of Tissue Engineering Research, 2026, 30(7): 1869-1876. |
| [3] | Zhou Tianle, Wang Wei, Zhang Zhiwen, Liu Ximing. Application and progress of transcriptomics and proteomics techniques in the study of intervertebral disc degeneration [J]. Chinese Journal of Tissue Engineering Research, 2026, 30(23): 5925-5933. |
| [4] | Ji Long, Gong Guopan, Kong Xiangkui, Jin Pan, Chen Ziyang, Pu Rui. The role of exercise-regulated mitophagy in cardiovascular diseases [J]. Chinese Journal of Tissue Engineering Research, 2026, 30(22): 5832-5843. |
| [5] | Li Keyun, Yang Yuqi, Fei Yingying, Huang Shuai. Physicochemical properties and in vitro biological effects of resveratrol-eluting stents [J]. Chinese Journal of Tissue Engineering Research, 2026, 30(20): 5243-5256. |
| [6] | Chen Yuanjun, Lin Sixing, Ji Lichun, Li Dongxiao, Liao Guangzhi, Lin Xingdong. Anti-inflammatory activity and mechanism of Lonicera japonica Thunb.-derived extracellular vesicle-like particles [J]. Chinese Journal of Tissue Engineering Research, 2026, 30(13): 3308-3320. |
| [7] | Lu Yuchun, Zhu Zimo, Li Chaomeng, Liu Ju, Jiang Zixian, Li Xiufang, Wang Tao, Wang Wenjing. Effect and mechanism of dichloromethane extract of fresh Sambucus adnata Wall. in rat osteoarthritis models [J]. Chinese Journal of Tissue Engineering Research, 2026, 30(12): 3014-3028. |
| [8] | Pan Li, Zhu Zhou, Yan Zhaobo, Zhang Ning, Yang Zhihong, Xiong Jiaojiao, Yang Xiaofang. Moxibustion improves endothelial function in atherosclerotic mice by regulating fatty acid oxidation through mediating mitochondrial autophagy [J]. Chinese Journal of Tissue Engineering Research, 2026, 30(11): 2764-2773. |
| [9] | Qi Xiang, Cao Shan, Chen Jian, Zhang Yijia, Liu Keke, Xu Zifu, Liu Wang, Fu Xiaoxiao, Yin Xiaolei. Screening of genes related to mitochondrial dysfunction and ferroptosis in atherosclerosis and target prediction of regulatory traditional Chinese medicine [J]. Chinese Journal of Tissue Engineering Research, 2026, 30(10): 2641-2652. |
| [10] | Zhang Yibo, Lu Jianqi, Mao Meiling, Pang Yan, Dong Li, Yang Shangbing, Xiao Xiang. Exploring the causal relationship between rheumatoid arthritis and coronary atherosclerosis: a Mendel randomized study involving serum metabolites and inflammatory factors [J]. Chinese Journal of Tissue Engineering Research, 2025, 29(在线): 1-9. |
| [11] | Gao Yang, Qin Hewei, Liu Dandan. ACSL4 mediates ferroptosis and its potential role in atherosclerotic cardiovascular disease [J]. Chinese Journal of Tissue Engineering Research, 2025, 29(6): 1239-1247. |
| [12] | Zhang Yixuan, Li Dongna, Liu Chunyan. Pathological processes, inflammatory responses, and related biomarkers of periodontitis: a multi-omics analysis [J]. Chinese Journal of Tissue Engineering Research, 2025, 29(35): 7601-7610. |
| [13] | Hu Shujuan, Liu Dang, Ding Yiting, Liu Xuan, Xia Ruohan, Wang Xianwang. Ameliorative effect of walnut oil and peanut oil on atherosclerosis [J]. Chinese Journal of Tissue Engineering Research, 2025, 29(30): 6482-6488. |
| [14] | Zhang Guoan, Shi Jian, Song Baoguo, Huang Xiaoyan. Histone deacetylase 1 gene inhibits pyroptosis of human umbilical vein endothelial cells and alleviates atherosclerosis and inflammatory response [J]. Chinese Journal of Tissue Engineering Research, 2025, 29(25): 5351-5361. |
| [15] | Liu Yuan, Qu Yuan, Wan Yakun, Guo Jingyu, Jiang Ping. Transcriptomic analysis and drug prediction of basement membrane-related genes in different traditional Chinese medicine patterns of rheumatoid arthritis [J]. Chinese Journal of Tissue Engineering Research, 2025, 29(25): 5486-5500. |
| Viewed | ||||||
|
Full text |
|
|||||
|
Abstract |
|
|||||