Chinese Journal of Tissue Engineering Research ›› 2026, Vol. 30 ›› Issue (16): 4088-4104.doi: 10.12307/2026.706

Previous Articles     Next Articles

Treatment of acute myeloid leukemia with corynoline: network pharmacology analysis of potential mechanisms and experimental validation

Zhou Wu1, 2, Zhang Jingxin2, Liu Yuancheng2, Hu Chenglong2, Wang Siqi2, Xu Jianxia2, Huang Hai1, 2, Wei Sixi1, 2   

  1. 1Clinical Laboratory Center, Affiliated Hospital of Guizhou Medical University, Guiyang 550004, Guizhou Province, China; 2School of Medical Laboratory Science, Guizhou Medical University, Guiyang 550004, Guizhou Province, China
  • Received:2025-06-27 Accepted:2025-09-08 Online:2026-06-08 Published:2025-11-26
  • Contact: Wei Sixi, PhD., Chief physician, Doctoral supervisor, Clinical Laboratory Center, Affiliated Hospital of Guizhou Medical University, Guiyang 550004, Guizhou Province, China; School of Medical Laboratory Science, Guizhou Medical University, Guiyang 550004, Guizhou Province, China
  • About author:Zhou Wu, MS candidate, Clinical Laboratory Center, Affiliated Hospital of Guizhou Medical University, Guiyang 550004, Guizhou Province, China; School of Medical Laboratory Science, Guizhou Medical University, Guiyang 550004, Guizhou Province, China
  • Supported by:
    Key Laboratory Project for Chronic Disease Biomarkers Research at Guizhou Medical University, No. [2024] fy004 (to WSX)

Abstract: BACKGROUND: Corynoline has been shown to possess pharmacological activity against tumors such as esophageal squamous cell carcinoma and triple-negative breast cancer. However, its pharmacological effects and molecular mechanisms in treating acute myeloid leukemia remain poorly understood.
OBJECTIVE: To investigate the therapeutic effects of corynoline on acute myeloid leukemia and its underlying molecular mechanisms.
METHODS: Human acute myeloid leukemia cell lines Kasumi-1 and MOLM-13 were cultured in vitro and treated with varying concentrations of corynoline (4, 6, and 8 μmol/L), with dimethyl sulfoxide used as a control. The cell viability was detected using CCK-8 assay for 24, 48, and 72 hours, and the pharmacological activity of corynoline was assessed by flow cytometry. The target genes for corynoline treatment of acute myeloid leukemia were predicted using network pharmacology. Potential mechanisms were analyzed through GO and KEGG analysis. A protein interaction network was constructed, and core targets were identified using clinical correlation analysis. The binding affinity to these core targets was assessed through molecular docking and molecular dynamics simulations. Finally, the molecular mechanisms by which corynoline treats acute myeloid leukemia were evaluated using quantitative reverse transcription-polymerase chain reaction and Western blot assays.
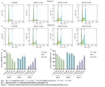
RESULTS AND CONCLUSION: (1) Corynoline inhibited the proliferation of acute myeloid leukemia cells, induced apoptosis, and caused G2/M cell cycle arrest. (2) Network pharmacology identified 102 intersecting target genes associated with corynoline and acute myeloid leukemia. (3) GO and KEGG analyses revealed that corynoline treated acute myeloid leukemia by regulating protein phosphorylation, inducing apoptosis, and targeting the phosphoinositide 3-kinase/protein kinase B signaling pathway. (4) The protein-protein interaction network and clinical correlation analysis identified retinoic acid receptor beta, prostaglandin-endoperoxide synthase 2, mouse double minute 2, and mitogen-activated protein kinase 14 as core targets. Molecular docking and dynamics simulations demonstrated strong interactions between corynoline and these targets. (5) Results from quantitative reverse transcription-polymerase chain reaction and Western blot assays indicated that corynoline exerted effects against acute myeloid leukemia by inhibiting the activation of phosphoinositide 3-kinase/protein kinase B signaling pathway and promoting the degradation of mouse double minute 2, which in turn activates p53 transcriptional function. (6) This study elucidates the in vitro pharmacological role of corynoline in acute myeloid leukemia treatment and the underlying mechanism, providing additional theoretical foundations for the application of natural compounds in the treatment of acute myeloid leukemia.


Key words: corynoline, acute myeloid leukemia, network pharmacology, phosphoinositide 3-kinase/protein kinase B pathway, p53 signaling, molecular docking, molecular dynamics simulation, apoptosis, cell cycle arrest

CLC Number: