Chinese Journal of Tissue Engineering Research ›› 2026, Vol. 30 ›› Issue (12): 2975-2985.doi: 10.12307/2026.687

Previous Articles     Next Articles

Effect of warm acupuncture combined with platelet-rich plasma injection on gait parameters and joint function recovery of knee osteoarthritis

Ye Wei, Jiang Dongfu, Zhuang Jielin, Lai Huaxin   

  1. Department of Orthopedics, Sanming Integrated Medicine Hospital, Sanming 365000, Fujian Province, China
  • Received:2025-03-26 Accepted:2025-08-09 Online:2026-04-28 Published:2025-09-28
  • Contact: Lai Huaxin, MS, Associate chief physician, Department of Orthopedics, Sanming Integrated Medicine Hospital, Sanming 365000, Fujian Province, China
  • About author:Ye Wei, MS, Associate chief physician, Department of Orthopedics, Sanming Integrated Medicine Hospital, Sanming 365000, Fujian Province, China
  • Supported by:
    Sanming Science and Technology Plan Project, No. 2023-S-151 (to JDF)

Abstract: BACKGROUND: Platelet-rich plasma is a platelet concentrate isolated from autologous peripheral blood and contains a variety of bioactive factors that promote tissue repair and regeneration. In recent years, clinical studies on its use treating knee osteoarthritis have increased gradually. The treatment of knee osteoarthritis with warm acupuncture and moxibustion can achieve the synergistic effect of ordinary acupuncture and moxibustion, which can warm and active meridians, promote blood circulation, remove blood stasis, and alleviate pain, as well as warm yang to dispel cold, and replenish qi to promote blood circulation.
OBJECTIVE: To investigate the effects of warm acupuncture combined with platelet-rich plasma injection on gait parameters and joint function recovery of knee osteoarthritis. 
METHODS: A total of 181 patients with knee osteoarthritis admitted to Sanming Integrated Medicine Hospital from February 2020 to March 2024 were selected as the study objects. According to the treatment methods, they were divided into an observation group (n=96) and a control group (n=85). The control group was given platelet-rich plasma injection therapy, and the observation group was given warm acupuncture combined with platelet-rich plasma injection therapy. After matching at a 1:1 ratio using propensity score matching, each group consisted of 70 cases. The general data, gait parameters, joint function, and occurrence of adverse reactions were compared between the two groups before and after treatment. The generalized estimation equation model was used to analyze gait parameters before and after treatment. The relationship between gait parameters and joint function was analyzed using Logistic regression analysis and correction model. The difference-in-differences model was used to evaluate the therapeutic effect before and after treatment.
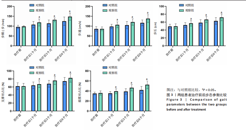
RESULTS AND CONCLUSION: (1) At each time point after treatment, both groups showed significant improvements in step frequency, step speed, step length, and the proportions of stance phase and swing phase compared to pre-treatment, with the observation group outperforming the control group (P < 0.05). (2) Compared with the control group, Western Ontario and McMaster Universities Osteoarthritis Index and visual analog scale scores were significantly decreased in the observation group at each time point after treatment (P < 0.05). In contrast, the scores of Hospital for Special Surgery Score and the modified Barthel Index were significantly increased (P < 0.05). (3) The results of the generalized estimation equation model showed that the treatment method in the observation group had statistically significant effects on step frequency, step speed, step length, and the proportion of supporting phase and swaying phase (P < 0.05). (4) Logistic regression analysis showed that, after adjusting for confounding factors, stride frequency, stride speed, stride length, proportion of supporting phase and swaying phase were closely related to the score of Western Ontario and McMaster Universities Osteoarthritis Index, Hospital for Special Surgery Score, visual analog scale score, and the modified Barthel Index (P < 0.05). (5) The results of the difference-in-differences model showed that the observation group had significant effects on Western Ontario and McMaster Universities Osteoarthritis Index (β=-2.117, P < 0.001), the Hospital for Special Surgery Score (β=3.270, P < 0.001), visual analog scale score (β=-3.105, P < 0.001), and the modified Barthel Index (β=2.774, P < 0.001), with all indicators showing superior outcomes compared with the control group. (6) The incidence of adverse reactions was 6% in the observation group and 9% in the control group, with no statistically significant difference between the two groups (P > 0.05). Overall, warm acupuncture combined with platelet-rich plasma injection therapy can effectively improve the joint function and gait parameters in patients with knee osteoarthritis, making it more valuable in promoting functional recovery in these patients.


Key words: warm acupuncture, platelet-rich plasma injection, knee osteoarthritis, gait parameters, joint function, generalized estimating equation

CLC Number: