Chinese Journal of Tissue Engineering Research ›› 2025, Vol. 29 ›› Issue (32): 7015-7027.doi: 10.12307/2025.797

Previous Articles     Next Articles

Antioxidants from different sources and osteoarthritis: a genome-wide association analysis in European populations

Liu Xiaowu1, Liu Jinping2, Wu Ting2, He Xian2, Cai Jianxiong3    

  1. 1Second Clinical Medical College, Guangzhou University of Chinese Medicine, Guangzhou 510120, Guangdong Province, China; 2Panyu Hospital of Traditional Chinese Medicine, Guangzhou University of Chinese Medicine, Guangzhou 511400, Guangdong Province, China; 3Second Affiliated Hospital of Guangzhou University of Chinese Medicine, Guangzhou 510120, Guangdong Province, China
  • Received:2024-10-14 Accepted:2024-11-20 Online:2025-11-18 Published:2025-04-29
  • Contact: Cai Jianxiong, Attending physician, Assistant researcher, Second Affiliated Hospital of Guangzhou University of Chinese Medicine, Guangzhou 510120, Guangdong Province, China Co-corresponding author: He Xian, Chief physician, Panyu Hospital of Traditional Chinese Medicine, Guangzhou University of Chinese Medicine, Guangzhou 511400, Guangdong Province, China
  • About author:Liu Xiaowu, MD candidate, Second Clinical Medical College, Guangzhou University of Chinese Medicine, Guangzhou 510120, Guangdong Province, China Liu Jinping, Master candidate, Panyu Hospital of Traditional Chinese Medicine, Guangzhou University of Chinese Medicine, Guangzhou 511400, Guangdong Province, China Liu Xiaowu and Liu Jinping contributed equally to this article.
  • Supported by:
    Guangzhou Science and Technology Planning Project, No. 2024A03J0744 (to CJX); Excellent Paper Support Program of Guangdong Hospital of Traditional Chinese Medicine (to CJX)

Abstract: BACKGROUND: Currently, numerous observational studies have frequently associated dietary antioxidant intake and circulating antioxidant levels with osteoarthritis. Nevertheless, the underlying causal mechanisms remain unclear. Therefore, this study employs publicly available genome-wide association data to investigate the causal associations between antioxidant intake, circulating levels, and osteoarthritis, offering evidence for the prevention and treatment of osteoarthritis.
OBJECTIVE: To assess the potential causal associations between dietary antioxidants (including vitamins A, C, E, and carotenoids) and circulating antioxidants (such as Glutathione S-transferase, glutathione peroxidase, catalase, superoxide dismutase, ascorbic acid, α-tocopherol, γ-tocopherol, albumin, uric acid, bilirubin, zinc, and selenium) with osteoarthritis through Mendelian randomization. 
METHODS: Data from genome-wide association studies on four dietary antioxidants and twelve circulating antioxidants were employed as exposure variables. The outcome variable was the osteoarthritis consortium dataset, which comprised 77 052 osteoarthritis cases and 378 169 healthy controls. Causal effects were evaluated using the inverse variance-weighted method, MR-Egger regression, and the weighted median approach. Stability and reliability of the findings were assessed through horizontal pleiotropy tests and sensitivity analyses.
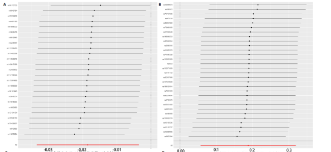
RESULTS AND CONCLUSION: (1) These results demonstrated that dietary vitamin C intake was inversely associated with knee osteoarthritis risk (OR=0.83, 95%CI: 0.71-0.96, P=0.015). Conversely, vitamin E intake was positively associated with knee osteoarthritis (OR=1.20, 95%CI: 1.05-1.34, P=0.004) and both knee and hip osteoarthritis (OR=1.15, 95%CI: 1.03-1.27, P=0.008). (2) Circulating antioxidant albumin levels were negatively associated with knee (OR=0.94, 95%CI: 0.91-0.97, P=0.001), hip (OR=0.95, 95%CI: 0.91-0.99, P=0.03), and knee or hip osteoarthritis (OR=0.95, 95%CI: 0.92-0.98, P=0.01). Uric acid levels were positively associated with knee osteoarthritis (OR=1.10, 95%CI: 1.03-1.17, P=0.003). (3) Sensitivity analyses yielded consistent results without evidence of horizontal pleiotropy. (4) European genome-wide data indicated that vitamin C intake was associated with a decreased risk of knee osteoarthritis, and lower serum albumin levels were associated with reduced risks of knee and hip osteoarthritis. In contrast, vitamin E intake and higher serum uric acid were associated with an increased risk of knee osteoarthritis. These findings support public health education and osteoarthritis interventions, indicating that serum albumin could be a potential biomarker for risk assessment. (5) The study underscores the role of certain antioxidants in osteoarthritis prevention and provides evidence to inform nutritional guidelines and public health strategies for the Chinese population. Furthermore, it contributes to biomarker research in arthritis, facilitating the development of early diagnostic tools and risk assessment strategies for the Chinese population.


Key words: antioxidants, knee osteoarthritis, hip osteoarthritis, Mendelian randomization, inverse variance weighting, genome-wide association study, causal association, single nucleotide polymorphism

CLC Number: